9. Search Algorithm (1)

dmswl·3일 전

Algorithm

목록 보기
15/16

9.0 Search Algorithm

Strategy

  • Too complex problem
    • No polynomial time algorithm

Approximation Proof

  • Too exhaustive and not very useful
  • Difficult to generalize
  • Difficult to design for each different problem and conditions

What is the general approach to find a solution applicable to any problem?
\rightarrow Search the optimal solution

Process

  • Set a candidate solution space
  • Search a better solution
  • Repeat until we can not find a better solution anymore

9.1 Backtracking

Idea

  • A general serach method
    • You can apply it to any optimization and decision problem
  • The simplest search?
    • Brute-Force \rightarrow inefficient
  • Better Serach?
    • If it's clear that a solution is not the optimum before evaluating its final quality
    • (early) STOP evaluating the solution

Early Stopping은 search space size 자체를 pruning을 통해 줄이는 것이다.

9.1.1 Backtracking for TSP

  • Memorize the best solution searched so far
    • bestSolution = (cycle, distance)
  • cycle: sequence of nodes
  • distance: weight sum of all edges used in the cycle
  • cycle = [starting node]
  • bestSolution = (cycle, \infin)

9.1.2 BacktrackTSP(cycle)

  • Complete cycle이 구성되어야 bestSolution과 비교 및 업데이트가 가능하다.

Depth-First vs. Width-First

  • Depth: 한 경로를 끝까지 탐색한 후 다른 경로로 이동
    • 노드 추가 \rightarrow 조건 검사 \rightarrow 재귀 호출을 반복하며 트리의 깊이 방향으로 진행
  • Width: 같은 레벨(깊이)의 모든 노드를 먼저 방문

9.1.3 Procedure

1. Starting node A

  • cycle = [A]
  • bestSolution = ([A], \infin)
  • Call BacktrackTSP(cycle)

2.

  • Check new vertex to add to cycle [A]
  • Candidate node {B, C, D, E}
  • Check B first
  • newcycle = [A, B]
    • 후보 전부 선택이 가능하지만, while문 작동상으로 앞에 있는 B를 선택한다.
  • d(newcycle) = 2(weight of (A, B))

3.

  • Call BacktrackTSP([A, B])
    • Depth First Search (by recursive call)
  • Repeat until we find a complete solution

4. First terminated recursive all

  • 현재 경로: A \rightarrow B \rightarrow C \rightarrow D
    • 남은 노드 E를 추가하고 다시 A로 돌아와 cycle 완성
  • 현재 해에서 return하면 ABCE node로 이동, 이때 6 < 30이므로 진행

이때 비용이 30으로 계산되었고 이는 하나의 complete solution이므로 다른 후보들과 비교 가능한 상태가 된다.

call stack mechanism

  • ABC
    • ABCD (먼저 탐색)
    • ABCE (다음에 탐색할 대상)

5.

  • bestSolution is updated to the second solution
    • 18 < 30이므로 update

6.

  • Intermediate results of running backtracking

call stack mechanism에 의해서 ABCEDA에서 return하면 부모인 AB의 다음 탐색 대상인 ABD로 return한다.

위 트리 구조에서는 아직까지 skip한 노드가 없다. \rightarrow Brute-Force

X

  • no need to serach
  • skip(pruning, early-stopping)

현재 bestSolution이 16, 비용이 16 이상 경로는 조기에 중단하여 계산량을 절감한다.

7. Brute-Force

9.1.4 Solution

  • Final Solution = [A, B, C, E, D, A] with distance 16
  • We checked all candidate solution
  • Backtraking guarantees the optimal solution
  • Faster than Brute-and-Force
  • Pruning을 통해 Bure-Force보다 효율적이지만, worse case의 겨우 Brute-Force 수준으로 퇴화한다.
  • 최적해가 될 수 없는 경로만 배제하므로 본질적으로 전수조사로 분류할 수 있다.

9.1.5 Time Complexity

  • Brute-Force Search: combinations or permutation of states
  • Backtracking: a bit faster, but still O(combinations)O(combinations)
  • States we can select in building a solution <= C
  • Number of states to build a complete solution = n
  • O(Cn)O(C^n) - Exponential time == Exhaustive Search
    • C: 각 단계에서 선택 가능한 상태의 수
    • n: 완전한 해를 만들기 위해 필요한 선택 단계의 수

시간 편차가 존재하지만, worst case는 거의 Brute-Force이다.

TSP problem에서는 O(n!)O(n!)이 더 정확한 표현이지만, 지수 시간이라는 의미에서는 O(nc)O(n^c)과 같은 범주로 이해할 수 있다.


9.2 Branch-and-Bound

  • Backtracking: depth first search
    • Brute-Force, backtracking: so slow (exponential)
    • Still exhaustive
  • How to make search faster?
  • Search most probable space first
  • Simple strategy: quality estimation of each state \rightarrow Branch-and-Bound

Backtracking보다 빠르게 탐색하기 위해, 매 단계에서 퀄리티가 높은 상태부터 탐색하자.

Idea

  • Quality estimation
  • Search the most probable solutions first
    • \rightarrow Skip most of bad solutions
  • Faster than backtracking
  • Best First Search

Branch-and-Bound는 Backtracking의 DFS 대신 Best-Fit Search를 사용해 추정값이 가장 높은 노드부터 탐색한다.

9.2.1 BranchAndBound(S)

  • activeNodes: weight sum
  • S: state, node
  • activeNodes 중에서 Q(v)가 가장 좋은 상태를 하나 고르므로 Best-First Search에 해당한다.

BFS처럼 확장되지 않은 노드들의 집합을 한 곳에 모아두고 하나씩 확장한다. BFS는 Queue로 들어온 순서대로 꺼내지만, Branch-and-Bound의 Best-First는 우선순위 큐를 써서 bound(quality)가 가장 좋은 노드를 먼저 꺼낸다.

9.2.2 Quality Estimation

Idea

  • All nodes in a TSP cycle have one input and one ouput edge
  • Q(node) = EinE_{in} + EoutE_{out} / 2
  • Not correct in some cases
    • Best Q(node) != selected edges in the optimal solution
  • Rough Estimation

Fully conected니까 어떤 정점을 보아도 edge가 2개 이상 존재한다.

E.g., Quality Estimation

  • May not be always correct
  • But in many cases, it will be consistent to th edges to visit the node used in an optimum

TSP에서 하나의 cycle을 생성하려면, 각 노드마다 들어오는 간선과 나가는 간선을 하나씩 선택해야 한다. 이때 각 노드에서 weight가 가장 작은 in/out 간선을 우선적으로 선택하면 전체 path의 길이가 최소가 될 가능성이 커진다.

9.2.3 Branch-and-Bound for TSP

  • A = Starting Node
  • S = [A]
  • Call Branch-and-Bound([A])

각 노드의 입장에서 퀄리티가 가장 좋은 edge를 2개씩 찾는다.

Initial Quality

  • Sum of Q(each node)
    • A: 2, 3
    • B: 2, 3
    • C: 1, 3
    • D: 3, 5
    • E: 1, 4

1.

  • 각 정점에 대해 cycle 제약을 고려하지 않고 in/out의 최소 거리 합을 구해 TSP 경로의 Lower bound 계산
  • E.g., 모든 정점에 대해 합산한 값이 27이므로 27/2 = 13.5, 14(올림 처리)
  • Initialize activeNodes = {S}, bestValue = \infin
  • Select one state from acticeNodes
    • Smin=[A]S_{min} = [A]
  • ActiveNodes = {} // A를 선택하여 S에 넣어 공집합됨
  • C = children of A
    • {[A, B], [A, C], [A, D], [A, E]} // state representation = a path to nodes
    • Evaluate their quality

2.

  • Results after quality evaluation
  • Quality of initial edge sets: 14 (not a complete solution)
  • [A, B]: A \rightarrow B is fixed. Update Q(A) and Q(B) (no change in this exmaple)
  • [A, C]: A \rightarrow C is fixed. Q(A) = 2+3/2 \rightarrow 2+7/2, Q(C) = 2 \rightarrow 4, total + 4

3.

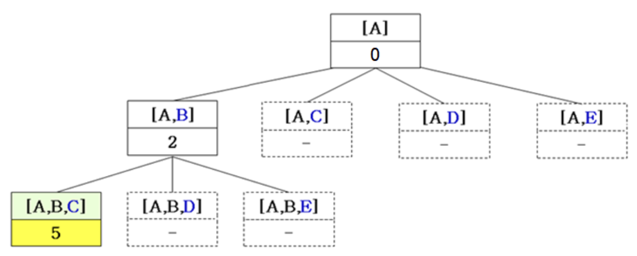
A에서 뻗어나갈 수 있는 노드 중 best는 B, E이므로 while문 구조상 B가 선택된다.

  • Add all nonterminating nodes to activeNodes
    • All nodes do not terminate
  • Select SminS_{min} = [A, B]
  • Remove [A, B] from activeNodes
    • activeNodes = {[A, C], [A, D], [A, E]}
  • C = children of [A, B]
  • Repeat

4.

Width + Best-Fit 방식으로 계속 진행된다.

5.

  • [A, B, D]의 경우 14보다 큰 해이므로 skip

6.

  • Update the best solution

7. Best Solution [A, B, E, C, D, A] = 16

Traversed states

  • Backtracking: 51
  • Branch-and-Bound: 22
  • Find a good criterion \rightarrow faster search

0개의 댓글