
[이진탐색트리] Search in a Binary Search Tree
문제 설명
You are given the root of a binary search tree (BST) and an integer val.
Find the node in the BST that the node's value equals val and return the subtree rooted with that node. If such a node does not exist, return null.
제한 조건
[1, 5000]Node.val <= root is a binary search tree.val <= 입출력 예
Example 1

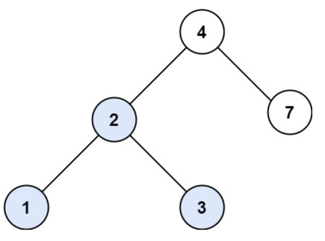
Input: root = [4,2,7,1,3], val = 2
Output: [2,1,3]
Example 2

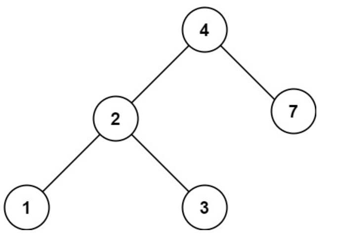
Input: root = [4,2,7,1,3], val = 5
Output: []
public class day13 {
public static void main(String[] args) {
}
public TreeNode searchBST(TreeNode root, int val){
if(root == null) {
return null;
}
if(root.val == val) {
return root;
}
if(root.val > val) {
return searchBST(root.left, val);
}else {
return searchBST(root.right, val);
}
}
}
root 값이 null 인 경우 null을 return한다.val 값이 root의 노드값(=root.val) 값과 같으면 root 를 return 한다.val 값 보다 root의 노드값이 작으면 다시 root 의 left 값을 탐색하고, 반대의 경우 right 값을 탐색하는 것을 반복한다.열심히 작성했는데 왜 날라갔지ㅠㅠㅠ
if문 작성하고 {} 중괄호는 기본적으로 항상 써주자.
추가로 이 코드를 재귀방식이 아닌 stack으로 구현할 수 있다.