" 1. channel reassembly technique"
: outlier channel들의 large activation magnitude를 channel들에 걸쳐서 redistribution
tuning method that only learns a small number of low-rank weights while freezing the pre-trained quantized model.
After training, these low-rank parameters can be fused into the frozen weights w/o affecting inference.
4-bit weight and/or activation quantization,
existing PTQ methods 성능 하락 큼.
LLM의 unique한 패턴인 특정 activiation channel들이 large magnitude를 갖는다.
최근 연구는 mathematically equivalent transformation을 사용해서,
activation outlier들을 smoothing해서 activations의 magnitude를 weight로 transition한다.
smoothQuant, outlier suppression, outlier suppression+, OmniQuant
하지만, Figure 1과 같이, 다른 outlier보다 50배 이상 큰 activation outlier들의 경우, 이전 연구로는 제한된 alleviation만 가능하다.
Channel disassembly

Channel assembly
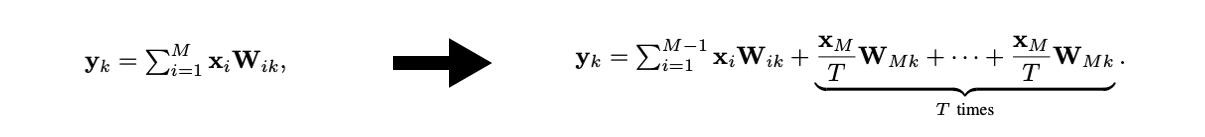
channel disassembly로 인해, input channel 개수가 개에서 개로 증가함.
LLM의 꽤 많은 channel이 주어졌을 때, 몇 개의 unimportant channels를 omit하거나,
유사한 input channel들을 merge해서,
input channel 개수를 개로 유지할 수 있다.
이를 위해서, straightforward한 method는 channel pruning을 사용해서, unimportant channel들을 direct하게 제거하는 것이다.
LLM-Pruner(2023)
A simple and effective pruning approach for large language models(2023)
하지만, 이 방법은 특히 가 클 때, 꽤 큰 information loss를 가져온다.