
스택을 활용해 해결할 수 있는 문제입니다.
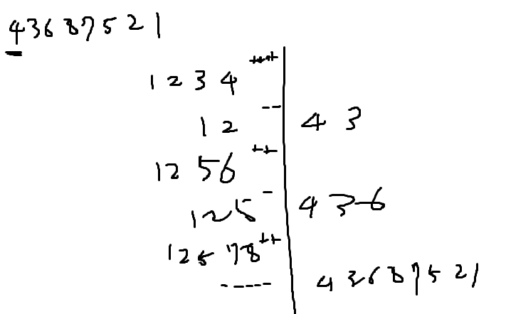
초반에 문제를 이해하는데 생각보다 시간이 걸렸던 문제입니다. stack의 LIFO(Last In First Out) 특성을 이용해 push와 pop을 통해 입력된 수열을 만들 수 있다면 push와 pop의 순서를 출력하고 안된다면 NO를 출력하는 문제입니다.

#include <iostream>
#include <vector>
#include <stack>
int main()
{
std::ios::sync_with_stdio(false);
std::cin.tie(0);
int n;
std::cin >> n;
std::stack<int> current;
std::vector<int> input;
int curInput = 0;
int curNum = 1;
std::vector<char> output;
for (int i = 0; i < n; i++)
{
int tmp;
std::cin >> tmp;
input.push_back(tmp);
}
while (curInput != n)
{
int top = current.size() == 0 ? 0 : current.top();
int target = input[curInput];
if (top < target)
{
current.push(curNum++);
output.push_back('+');
}
else if (top == target)
{
current.pop();
curInput++;
output.push_back('-');
}
else
{
std::cout << "NO\n";
return 0;
}
}
for (int i = 0; i < output.size(); i++)
{
std::cout << output[i] << "\n";
}
return 0;
}
해당 코드의 Time complexity는 O(N)처럼 보일 수 있으나, while문이 몇번 돌지 장담할 수 없기에 O(N)이 아닐 수 있습니다.