Week 4-1. Neural Networks

(a) step/threshold function, (b) sigmoid function 1+e−x1
Changing the bias weight W0,i moves the threshold location
Network structures: Feed-forward networks
1. Single-layer Perceptrons
use a step/sigmoid function as activation function
output units all operate separately-no shared weights
adjusting weights changes the cliff's location, orientation, and steepness(경사)

- Perceptron learning: Linearly-Separable Functions
can represent AND, OR, NOT, majority, etc.. but not XOR (2-dimensional space)
∑jWjxj>0 -> 1
∑jWjxj≤0 -> 0
xj = 0 or 1
3-dimensional space: the minority function- return 1 if 1s < 0s; return 0 otherwise

2. Multi-layer Perceptrons
the number of layers: counted except the input layer

combine threshold functions-ridge-bump (능선/봉우리-혹)
- Learning with NNs

Recurrent networks
directed cycles with delays, internal state
Week4-2 Neural Networks: Activation function, Building networks
Activation functions
must be non linear, differencialable/ better zero centered(bounded)
1. Sigmoid
drawbacks: Vanishing gradient, not zero centered, computationally expensive
- Tanh
Zero-centered & squashed
Vanishing gradient
- ReLU (Rectified Linear Unit)
Not zero-centered, vanishing gradient when x < 0
- Leaky ReLU
Building a Neural Net
1. # of hidden layers (depth)
Decision boundary according to the number of layers
1 hidden layer: boundary of convex region
2 hidden layer: combinations of convex region

2. # of units per hidden layer (width)
size of hidden layer D, size of input M
D = M
D < M: encoded, feature extraction, classification
D > M: optimal, diverse features, can be overfitting
3. Types of activation function (nonlinearity)

4. Form of objective function
Regression: same objective as Linear Regression, quadratic loss (mean squared error)
Classification: same objective as Logistic Regression, cross-entropy (negative loglikelihood), softmax layer
Lecture Week 5-1. Neural Networks: Back-propagation
Recall gradient descent algorithm

Forward- & Back-propagation
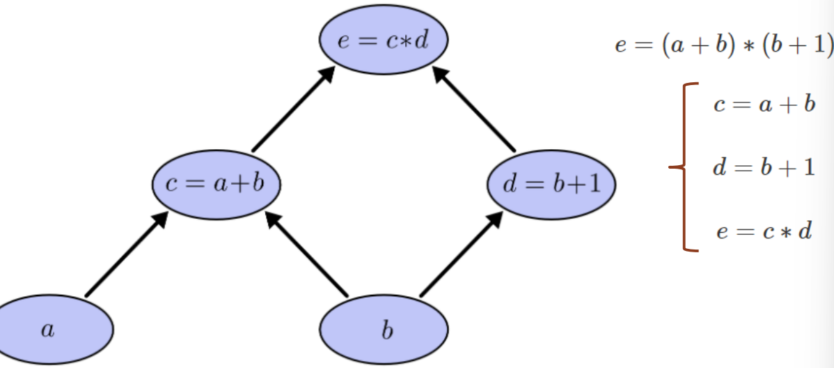
- Computational graph
nodes correspond to operations or variables


(a + ϵ) -> c + gradient*ϵ
Linear classification with hinge loss (linear problem)
- find loss function and its gradients (setting)
Loss(x,y,w)=max{1−w⋅ϕ(x)y,0}∇wLoss(x,y,w)=−ϕ(x)y (margin < 1)
margin = w⋅ϕ(x)y if margin >= 1, 0
Two-layer neural networks


h(x)=Vϕ(x)fV,w(x)=sign(w⋅h(x))
Loss(x,y,V,w)=(w⋅σ(Vϕ(x))−y)2=(y^−y)2=(residual)2∇wLoss(x,y,V,w)=2(residual)h∇VLoss(x,y,V,w)=2(residual)w⋅h⋅(1−h)ϕ(x)T
Backpropagation
1. Backpropagation for Logistic regression model or 1-layered Neural Network Model
orange: forward calculation
purple: back 1 -> 1 * 2(residual) = 6 -> 6 * 1 = 6 -> 6 * [1,2] = [6,12]
old * gradient
- Derive the formula for gradient descent algorithm
Cost Function J=−yloga−(1−y)log(1−a)z=w1x1+w2x2+b
y^=hθ(x)=σ(z)=a -> J=L(a,y)
∂w1∂L=∂a∂L⋅∂z∂a⋅∂w1∂z
∂a∂L=a−y+1−a1−y,∂z∂a=a(1−a),∂w1∂z=x1
w1=w1−α∂w1∂L=w1−α(a−y)x1w2=w2−α∂w2∂L=w2−α(a−y)x2b=b−α∂b∂L=b−α(a−y)
2. Backpropagation for 2-layered Neural Network



Lecture Week 7-1. Neural Network: Practice building Neural Networks w/MNIST
MNIST number classification
:Mixed National Institute of Standards and Technology database
0-9 handwritten digit recognition
train:test = 6:1
Multilayer Perceptron network architecture for MNIST for today's practice

Data Normalization/ Feature Scaling: Data Preprocessing

Advantages: classification loss becomes less sensitive to small changes in weights; easier to optimize
Mini-batch SGD
after creating the mini-baches of fixed size, in one epoch:
1. Pick a mini-batch (100)
2. Feed it to Neural Network
3. Calculate the mean gradient of the mini-batch
4. update the weights using the mean gradient
5. Repeat steps 1-4 for the mini-batches
: balance between the robustness of SGD and the efficiency of BGD
smaller batch size -> more updates, more time, lower speed
very large batch size can yield wore performance
Cross-entropy loss for classification
-
Binary cross-entropy loss
Hy′(y):=−i∑(yi′log(yi)+(1−yi′)log(1−yi))yi: predicted probability for class i, yi′: true probability for class i
-
Cross-entropy loss for multi-class classification
Hy′(y):=−i∑yi′log(yi)
If target = 1, the loss is 0 when the prediction is 1 and loss is infinity when the prediction is 0
- Cross-entropy in PyTorch
combine nn.LogSoftmax() and nn.NLLLoss()
recall softmax: σ(z)j=∑k=1Kexp(zk)exp(zj) for j = 1, ..., K.
recall cross-entropy: D(Y^,Y)=−YlogY^Y^=S(Z)


??
Traning, Validation, Test Set
- Train data
- Validation data: use training error and validation error to determine when to stop to prevent overfitting (early stopping)
- Test data: measure the generalization ablility of a machine learning algorithm. never seen during the training process
