노드(Node)와 간선(Edge)을 이용한 비선형 데이터 구조
📎 비선형 데이터 구조?
선형 데이터 구조는 하나의 자료 뒤에 하나의 자료만 오도록 나열한 것입니다. (ex. 스택, 큐)
반면, 비선형 데이터 구조는 하나의 자료 뒤에 n개의 자료가 올 수 있습니다. (ex. 트리, 그래프)

위 그림은 집에서 강남까지 가는 경로와 시간을 나타내는 그래프입니다.
데이터 간의 관계를 표현
| 있음 | 없음 | |
|---|---|---|
| 간선의 방향 | 방향 그래프 | 무방향 그래프 |
| 가중치 | 가중치 그래프 | |
| 순환 | 순환 그래프 | 비순환 그래프 |
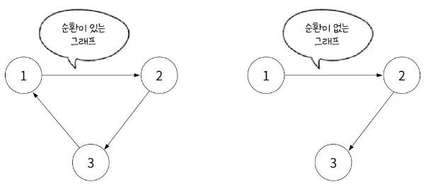
순환이란 특정 노드에서 시작해 간선을 따라 다시 돌아오는 경로가 있는 것 입니다.

1 → 2 → 3 → 1 로 다시 돌아올 수 있다.
그래프의 구현 방식에는 인접 행렬과 인접 리스트가 있습니다.
2차원 배열을 활용
배열의 인덱스는 노드, 값은 가중치로

graph[0][1] = 400; // 0 -> 1 간선의 가중치가 400
*빈 인덱스에는 -1이나 아주 큰 값을 넣는다
노드를 정의 (정점 v, 가중치 w, 다음 노드 정보 next)
노드 개수만큼 배열을 준비
배열의 인덱스는 각 시작 노드를 의미하며 배열의 값에는 다음 노드를 연결

1 → 2 (가중치 3)
2 → 1 (가중치 6)
ㅤ→ 3 (가중치 5)
…
구현 방식 비교, 장단점
| 메모리 사용 | 간선 정보 확인의 시간 복잡도 | |
|---|---|---|
| 인접 행렬 | O(N^2) | O(1) |
| 인접 리스트 | O(N + M) | O(N) |
| *N = 노드 개수, M = 간선 개수 |