
Algorithm - GPS

Algorithm - 실패율

Algorithm - 다리를 지나는 트럭

Algorithm - H-Index
Algorithm - 약수의 개수와 덧셈
Algorithm - 금과 은 운반하기
Algotirhm - 카펫
Algotirhm - 큰 수 만들기
Algorithm - 3진법 뒤집기
Algotirhm - 이중 우선순위 큐

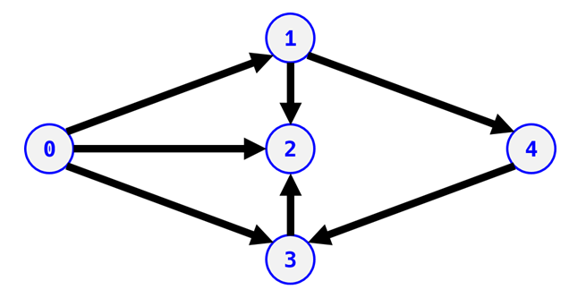
Graph 기본
Algorithm - 등굣길

Algorithm - 예산

Algorithm - 단어 변환

오랜만에 올려보는 알고리즘 문제이다. 앞으로 다시 꾸준히 해야겠다!

오늘의 두 번째 문제!!