LSA
Age & Flooding
- OSPF LSA의 수명은 1800초, 30분
- 근원지 라우터는 새로운 LSA를 홍보할 때, LSA 수명을 0으로 설정하여 홍보
- 만약 LSA 수명이 3600초가 되면, LSA가 유효하지 않은 것으로 간주되고 LSDB에서 제거됨
- LSA의 반복적인 flooding은 영역내의 모든 라우터가 동일한 LSDB를 유지하도록 보장하기 위한 이중 안전 메커니즘
LSA Type 1

- 모든 라우터가 홍보하는 Type
- LSDB의 가장 핵심적인 요소
- Type 1 LSA는 ABR을 넘어가지 못함
- 4개의 Link Type이 있음

- 각 OSPF 활성화 인터페이스는 각 라우터마다의 Link Number에 등록됨
- 각 라우터의 네트워크 링크는 아래의 정보를 따름
- Link type, 링크가 연결된 직후의 정보
- Link ID, 위의 표에 적힌 것처럼 link type 기반의 값을 사용
- Link Data, 해당되는 경우
- 각 인터페이스의 Metric
sh ip ospf database router
- Type 1 OSPF LSA 정보 확인 명령어
Link Types
- SPT 연산 중, 네트워크 링크 타입은 아래의 요소들 중 하나로 지정됨
- Transit network
- 인접성 형성
- 해당 링크에서 DR이 선출되었다는 의미
- P2P
- 인접성 형성
- DR을 사용하지 않음
- 해당 링크 타입을 사용하는 인터페이스는 2개의 링크만 홍보
- 하나는 해당 세그먼트의 OSPF neighbor RID를 정의(P2P link type)
- 나머지 하나는 네트워크의 서브넷 마스크를 제공(Stub network link)
- Stub
- neighbor가 형성되지 않았음을 의미
- Stub로 정의된 링크와는 Transit이든 P2P든 인접성 형성 불가
- OSPF 인접성이 형성되면 Stub 타입은 Transit과 P2P 중 하나로 변환
LSA Type 2
- DR을 사용하는 multi-access network 세그먼트를 표현
- DR은 항상 Type 2 LSA를 홍보
- Network 세그먼트의 인접한 모든 라우터를 정의
- DR이 선출되지 않았을 경우, Type 2 LSA는 LSDB에 기록되지 않음
- 이유, 상응하는 Type 1 Transit link type LSA가 Stub이기 때문
- Type 2 LSA는 Type 1 LSA와 같이 원래의 OSPF 영역 밖으로 flooding 되지 않음
sh ip ospf database network
LSA Type 3

- 다른 영역의 네트워크를 표현
- ABR은 Type 1과 Type 2를 다른 영역으로 포워딩하지 않음
- 만약 ABR이 Type 1 LSA를 받았을 경우, 기존의 Type 1 LSA를 참고한 Type 3 LSA를 생성
- ABR은 Type 3 LSA를 다른 Area로 홍보
- 만약 ABR이 Area 0으로부터 Type 3를 받았을 경우, Backbone Area가 아닌 영역을 위해 새로운 Type 3 LSA를 생성
- 추가적인 cost와 metric과 함께 본인을 홍보 라우터로 등록
sh ip ospf database summary
LSA Type 5

- 경로가 OSPF로 재분배될 때, 해당 라우터는 ASBR로 인식
- 외부 경로는 모든 OSPF domain에 Type 5 LSA로 flooding됨
- Type 5 LSA는 특정 영역과 직접적으로 연관되지 않고, OSPF 영역 전체로 홍보됨
sh ip ospf database external
- 위의 명령어로 Type 5 LSA의 상세 정보를 확인할 수 있음
- Type 5 LSA는 OSPF 영역을 통해 전파되므로 ABR은 오직 수명만을 정의
LSA Type 4

- Type 4 LSA는 Type 5 LSA의 ASBR의 위치를 특정
- 라우터가 다른 영역의 ASBR에 있을 때, ASBR로 가는 방법을 알려줌
- Type 4 LSA가 첫 번째 ABR에 의해 생성되고, Type 5 LSA의 ASBR을 위한 요약된 경로를 제한적으로 제공
- Type 4 LSA를 위한 Metric은 다음과 같은 logic을 따름
- Type 5 LSA가 첫 ABR을 통과할 때, ABR은 ASBR까지의 총 경로 metric으로 설정된 metric의 Type 4 LSA를 생성
- ABR이 Area 0으로부터 Type 4 LSA를 받았을 때, ABR은 새로운 Type 4 LSA를 생성
- 새로운 Type 4 LSA는 기존 Type 4 LSA에 있는 metric과 첫 번째 ABR까지의 총 경로 metric의 합으로 설정된 metric을 지님
sh ip ospf database asbr-summary
- 위의 명령어를 입력하면 Type 4 LSA의 상세 정보를 볼 수 있음
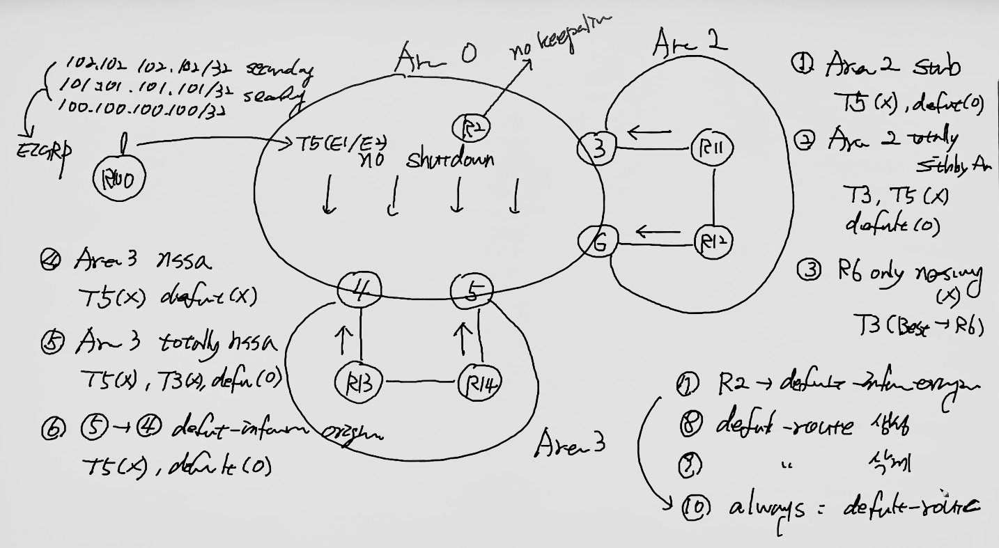
OSPF Stubby Areas
Stub Areas

- OSPF Stub Area는 ABR에서 들어오는 Type 5 LSA(외부 경로)와 Type 4 LSA(ASBR 요약 LSA)를 차단
- Type 4 LSA가 Stub Area의 ABR에 도달했을 때의 RFC 2328은 ABR은 Type 3 LSA를 통해 stub에 대한 기본 경로를 생성하도록 명시
- Cisco ABR은 area가 Stub로 정의되고 Area 0에 관한 OSPF 활성화 인터페이스가 구성되어 있을 경우, default route를 생성
Stub Configuration
area {area-id} stub
- 해당 명령어를 입력하면 stub area로 선언됨
Totally Stubby Areas

- ABR로 들어오는 Type 3 LSA(area 사이의 정보), Type 4 LSA(ASBR 요약 LSA), Type 5 LSA(외부 경로) 차단
- TSA(Totally Stubby Areas)의 ABR이 Type 3 또는 Type 5 LSA를 받을 경우, ABR은 TSA에 관한 default route를 생성
- 실질적으로 TSA의 ABR은 Area 0에 할당되는 순간 TSA로 default route를 홍보함
- 할당한 인터페이스는 default route의 생성을 담당하는 Type 3 LSA의 원인으로 동작함
- 하나의 라우터에서 TSA가 설정되었다면, 영역내의 모든 라우터가 TSA 설정되어야 neighbor가 됨
Totally Stubby Area Configuration

- TSA의 ABR은 no-summary 옵션이 있음
- OSPF 프로세스에서 설정
- 해당 설정은 stub area로 들어오는 모든 Type 3 LSA를 차단
- no-summary가 설정되면 ASBR을 가질 수 있는 TSA와 같음
Not-So-Stubby Areas (NSSA)

- NSSA는 NSSA로 들어오는 재분배되는 외부 경로는 허용하면서 ABR을 통해 들어오는 Type 5 LSA를 차단하는 영역
- ASBR이 NSSA의 OSPF로 네트워크를 재분배할 때, Type 5 LSA 대신 Type 7 LSA로 네트워크를 홍보
- Type 7 LSA가 ABR에 도달할 때, ABR은 Type 7을 Type 5로 변환
- Type 5 또는 Type 7 LSA가 차단됐을 때, ABR은 자동으로 default 경로를 홍보하지 않음
- 하나의 라우터에서 NSSA가 설정되었다면, 영역내의 모든 라우터가 NSSA 설정되어야 neighbor가 됨
OSPF Path Selection
Link Costs

- interface cost는 다익스트라 SPF 연산에서 가장 핵심적인 요소
- 가장 짧은 경로 metric은 라우터에서 목적지까지의 누적 interface cost에 기반하기 때문
- OSPF는 위의 공식에 따라 인터페이스에 OSPF link cost를 할당
- Default reference BW는 100Mbps
- link cost는 Fast Ethernet나 10 Gigabit Ethernet Interface나 차이가 없음
Intra-Area Routes

- 다수의 intra-area 경로가 존재할 때, 가장 작은 총 경로 metric의 경로는 OSPF RIB(Routing Information Base)에 저장되고 이후 라우터의 Global RIB에도 표시됨
- metric 값이 같으면, 두 경로 모두 OSPF RIB에 저장됨
External Router Selection
- 외부 경로는 Type 1 또는 Type 2로 정의됨
- 두 타입의 차이점은
- Type 1 경로는 Type 2보다 우선시 됨
- Type 1 metric은 재분배 metric에 ASBR까지의 총 경로 metric을 더한 값과 같음
- 다시 말해, LSA는 기존 ASBR로부터 멀리 전파된다는 것(metric 증가 의미)
- Type 2 metric은 오직 재분배 metric과 동일
- ASBR 바로 옆에 있는 라우터와 기존 ASBR로부터 30hop 정도 떨어진 라우터의 metric은 동일
- 이는 OSPF가 사용하는 기본 외부 metric type
E1 & N1 External Routes
- 외부 OSPF Type 1 경로 연산은 재분배 metric에 네트워크를 홍보한 ASBR까지 도달하는 가장 작은 경로 metric을 더한 값을 사용
- Type 1 경로 메트릭은 기존 ASBR에 더 가까운 라우터의 경우 더 낮음
- 반면 ASBR로부터 10hop 정도 떨어진 라우터의 경우 경로 metric이 더 높음
- 만약 경로 메트릭이 같다면, 두 경로 모두 RIB에 저장
- 만약 ASBR이 다른 Area에 있다면, 트래픽의 경로는 Area 0을 통해 지나감
- ABR은 RIB에 O E1과 O N1 경로를 동시에 저장하지 않음
- O N1은 일반적인 NSSA의 경우 항상 우선권을 가지고 있음
- O N1의 우선권으로 인해 O E1이 ABR에 설치되는 것을 막음
E2 & N2 External Routes
- 외부 OSPF Type 2 경로는 ABR까지의 경로 metric에 관계없이 metric이 증가하지 않음
- 만약 재분배 metric이 동일하다면, 라우터는 Forwarding cost를 비교
- Forwarding cost는 네트워크를 홍보한 ASBR까지의 metric
- 더 낮은 Forwarding cost가 우선시 됨
- 만약 forwarding cost가 같다면, 두 경로 모두 라우팅 테이블에 입력됨
- ABR은 O E2와 O N2를 RIB에 동시에 등록하지 않음
- O N2가 항상 우선권을 지님(일반적인 NSSA의 경우)
- O N2가 존재함으로써 O E2는 ABR에 등록되지 않음
LAB_OSPF_Area
- 토폴로지

Summarization of Routes
Fundamentals
- Summarization of routes는 SPF 연산을 더욱 빠르게 만듦
- 같은 area 내의 라우터들은 모두 동일한 LSDB의 복사본을 지니고 있어야 하기 때문에, Summarization은 area들 사이의 ABR에서 발생함
- Summarization은 요약된 prefix의 경우, 바깥 area에 관한 SPF 연산을 없앨 수 있음
Interarea Summarization
- 영역 사이의 요약은 Type 1 LSA를 받았을 때, ABR이 영역으로 홍보하는 Type 3 LSA의 수를 줄여줌
- 네트워크 요약 범위는 Type 1 LSA의 경우, 특정 source 영역과 연관되어 있음
- 요약 범위에서 Type 1 LSA가 Source Area의 ABR에 도달한 경우
- ABR은 요약된 네트워크 범위의 경우 Type 3 LSA를 생성
External Summarization
- 외부 영역에 대한 Summary는 ASBR이 행함
- 다른 라우터는 할 수 없음
- 결국 외부 경로의 정보를 갖고 오는 라우터만이 요약할 수 있다는 의미
- 외부 영역 Summary는 전송하는 라우터에서 요약되는 것이 아니라 수신하는 라우터에서 특정 IP들을 하나의 범위로 묶어서 저장하는 과정을 거치기 때문에 전송 라우터의 DB에서 경로 정보는 요약된 상태가 아님
- 수신 라우터의 DB에서는 경로 정보가 요약된 상태로 출력됨
Area Filter
prefix filter
- prefix 확인 단계에서 filtering
- T3에서만 filter되어 갖고 오고, T5에 대해서는 Filtering 작업이 없음
- T5를 갖고 오거나, 가지고 오지 않거나 둘 중 하나
- T7도 T5와 동일
Discontiguous Network
Discontiguous Network

- 중앙의 R3는 Area 12, Area 45 모두와 통신할 수 있음
- R5가 R2와 통신할 때, R4의 Backbone Area를 거쳐서 재홍보를 통해 통신이 이루어짐
- R1 to R4의 경우에도 동일
- 굳이 Area 사이에 Area 0을 삽입할 필요 없이, 연결할 두 Area 사이에 GRE tunnel을 뚫어 통신하게 만들 수도 있음
Virtual Links
Virtual Links

- Virtual Link를 사용하는 것은 OSPF 내에서 ABR과 또 다른 다중 영역 OSPF 라우터 사이에 가상의 터널을 뚫는 것과 같음
- Virtual Link로 전달받는 LSA는 Aging Time이 멈추기 때문에, Virtual Link를 오래 사용하면 그만큼 Garbage Data가 많이 쌓이기에 리소스 낭비, 메모리 낭비, 기기 과부하 등의 문제를 초래할 수 있음
- 따라서 Virtual Link는 어디까지나 임시로 사용하는 기술임
- Virtual Link 선언을 하면 건너편 Area까지 Link를 통해 한 번에 통신하는 것처럼 보이게 하면서도 실제로는 SPT 계산을 통해 발견한 최적 경로로 데이터 전송

- Virtual Link를 구현하면 실제로 다른 Area에서 들어온 경로로 표시되던 10.0.23.0 대역 주소가 O로 표현되는 것을 알 수 있음
- 이로써 Area 1과 Area 0이 연결되었다는 것을 증명
- Virtual Link는 Area 0에 속한 라우터와 속하지 않은 라우터를 연결하는 기술
- Virtual Link를 선언할 때에는 서로의 Router-ID를 Link의 끝으로 선언해야 함
LAB2_OSPF_Area 2

- 해당 토폴로지에서 R7에 Distributed-list를 걸자 해당 라우터의 라우팅 테이블 항목이 보이지 않았음
Troubleshooting OSPFv2
Troubleshooting OSPFv2 Neighbor Relationships
- 인터페이스 DOWN
- 인터페이스 shutdown은 한 번씩 확인하기
- 인터페이스에 OSPF 프로세스가 동작하고 있는가
- Timer 불일치
- 패킷 전달 타이머가 서로 일치하지 않으면 문제 발생
- Area number 불일치
- 같은 Area가 아닐 경우 지속적으로 neighbor 매칭 오류 메시지 발생
- Area Type 불일치
- 서브넷 불일치
- Passive Interface
- Passive로 인해서 라우팅 정보가 전달되지 않았을 경우도 있음
- 인증 정보 불일치
- 한 쪽만 MD5 인증을 한 경우, 인증 오류로 라우팅 정보가 전달되지 않을 경우 있음
- ACL
- ACL로 인해 패킷이 Filtering 됐을 경우가 있음
- MTU 불일치
- Router ID 중복
- Network Type 불일치