Daily plan
🌞오전
- 통계 라이브세션 정리
- 10시 통계 라이브세션 듣고 정리
🔥 오후
- 14시 파이썬 스탠다드 이론 수업 + 이론 복습
- 정리해놓은 빅분기 이론 복습
🌝 저녁
- 통계 강의는 언제 듣냐.....
- QCC 준비는 언제 하니......
- 19시 파이썬 스탠다드 실습 수업
- 스크럼 작성 + TIL 제출
통계 라이브세션 1회차
데이터 종류

편차, 분산, 표준편차
- 편차(deviation): 하나의 값에서 평균을 뺀 값 (= 평균으로부터 얼마나 떨어져 있는지)
- 분산(variance): 편차의 합이 0으로 나오는 것을 방지하기 위해 생성된 개념 (= 편차 제곱합의 평균)
- 표준편차(standard deviation(σ)): 분산에 제곱근을 씌워준 값 (원래 단위로 되돌리기 위해 제곱근을 씌움)
표본분포
- 표본분포: 표본통계량으로부터 얻은 도수분포 (표본의 분포)
- 표본평균의 분포
: 모집단에서 여러 표본 추출 후 각 표본의 평균 계산시, 중심극한정리에 따라 정규분포에 가까워짐. 즉, 표본 크기가 충분히 크다면 표본 평균이 정규분포를 따름.
- 표본분산의 분포
: 모집단에서 여러 표본 추출 후 각 표본의 분산을 계산하면, 표본분산들의 분포는 카이제곱 분포을 따름. 이는 모집단이 정규분포를 따를 때보다 높게 성립됨.
- 표준오차: 표본의 표준편차 (표본평균의 평균과 모평균 간의 차이)
도수분포표
- 도수: 특정 구간에 발생한 값의 수
- 상대도수: 특정 도수를 전체 도수로 나눈 비율
- 도수분포표: 각 값에 대한 도수와 상대도수를 나타내는 표
- 도수분포표 만들기
- 최댓값, 최솟값 계산
- 최댓값, 최솟값을 포함하여 데이터를 특정 범위(계급)로 나눔
- 각 계급을 대표하는 수치(=계급값) 정하기
- 각 계급에 포함된 데이터 개수(도수) 카운트
- 각 계급의 도수가 전체에서 차지하는 비율(상대도수) 계산
- 특정 계급까지의 도수를 모두 더함(누적도수)
- 히스토그램: 도수분포표를 활용하여 만든 막대그래프
- 임의표본추출: 무작위로 표본을 추출하는 것
- 편향: 한쪽으로 치우쳐져 있음
정규분포
- 정규분포
- 분포는 평균을 중심으로 좌우 대칭의 형태
- 곡선은 각 확률값을 나타내며, 모두 더하면 1이 됨
- 정규분포는 평균과 분산에 따라 다른 형태를 가짐
- 평균 0, 분산 1을 가지는 경우 이를 표준정규분포라고 함
- 표준정규분포
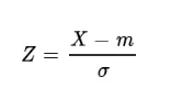
- 표준화(standard scaler): 분포의 평균과 분산값을 통일하여 확률 계산을 용이하게 하는 작업
- 확률변수X(값)에서 평균m을 빼고 표준편차로 나눈 값

- 머신러닝 모델을 만들 때 데이터 범위가 많이 차이나는 경우 표준화가 필요함
신뢰구간, 신뢰수준
- 신뢰구간: 특정 범위 내에 값이 존재할 것으로 예측되는 영역
- 신뢰수준: 신뢰구간이 실제모수를 포함하게 되는 확률로, 주로 95%와 99%를 이용
- 신뢰수준 95%: 표본을 통해 얻은 결과가 실제 모집단의 특성을 95% 반영한다는 의미
- python scipy라이브러리 코드 실습
import scipy.stats as st
import numpy as np
sample1 = [5, 10, 17, 29, 14, 25, 16, 13, 9, 17]
sample2 = [21, 22, 27, 19, 23, 24, 20, 26, 25, 23]
df= len(sample1)-1
mu = np.mean(sample1)
se = st.sem(sample1)
st.t.interval(0.95, df, mu, se)
st.t.interval(0.99, df, mu, se)
- 신뢰구간을 구할 때 일반적으로 표준오차를 사용함
- 표준편차로 각 값이 평균으로부터 얼마나 떨어져 있는지 파악한 후,
- 표준오차를 통해 표본의 평균이 얼마나 정확하게 모집단의 평균을 추정하는지 나타냄
통계 라이브세션 2회차
통계적 실험
- 특정 가설을 확인하거나 기각하기 위한 목표로 실험 설계
- 통계와 직감의 밸런스를 잘 맞추기!
- 변수: 대상의 속성이나 특성을 측정하여 기록한 것
- 독립변수(설명변수): 원인이 되는 변수
- 종속변수(결과변수): 결과가 되는 변수, 독립변수에 따라 그 값이 변할 것이라고 예상하는 변수
- 모수: 모집단을 대표하는 값
- 모수통계: 모집단이 정규분포를 따른다는 가정 하에 사용. 평균, 분산 등의 값을 알고 있다는 가정 하에 진행하는 통계분석
- 비모수통계: 모집단이 정규분포가 아닌 경우, 즉 표본의 크기가 충분히 크지 않은 소규모 실험에서 사용. 평균, 분산 등의 값을 가정하지 않고 진행하는 통계분석
- 통계적 실험
- 어떤 목적을 가지고 관찰을 통해 결과(측정값)를 얻어내는 것
- 통계적 추론을 통해 보다 사실에 가까운 값을 도출하려는 목적
- 프로세스: 가설 수립 > 실험 설계 > 데이터 수집 > 추론 및 결론 도출
A/B TEST
- 두 가지 처리 방법 중 어느 하나가 더 좋다는 것을 입증하기 위해 실험군을 두 그룹으로 나누어 진행하는 실험 (버킷테스트, 분할테스트라고도 함)
- 목적
- 주요 지표
- 서비스 가입률
- 재방문율
- CTR(노출 대비 클릭률), CVR(클릭 대비 전환율, 구매전환율)
- ROAS(캠페인 비용 대비 캠페인 수익)
- eCPM(1000회 광고 노출당 얻은 수익)
- test그룹과 control그룹으로 나누어 진행하지만, 꼭 2개의 그룹으로 나눌 필요는 없음
- 일반적으로 두가지 방법 중 하나는 기준이 되는 기존 방법이거나 아예 아무 처리도 적용하지 않은 방법
- 프로세스
- 현행 데이터 탐색
- 가설 설정
- 비즈니스 목표 달성에 필요한 KPI 정의
- KPI 전환율 증가를 위한 귀무가설, 대립가설 설정
- 귀무가설: 통계학에서 처음부터 버릴 것을 예상하는 가설, 차이가 없을 것을 가정
- 대립가설: 귀무가설에 대립하여 차이가 있을 것을 가정
- 유의수준 설정
- 귀무가설이 맞을 때 오류를 얼마나 허용할 것인지 기준을 정하는 단계
- 테스트 설계 및 실행
- 테스트 결과 분석
- 측정 항목(가설)에 대해 두 그룹의 결과를 분석 (검정통계량 분석)
- 대조군과 실험군 간 통계적으로 유의미한 차이가 있는지 확인
- 주의사항
- 적절한 표본크기
- 하나의 변수만 변경: 여러 변수를 동시에 변경하면 어떤 변수가 영향을 미쳤는지 파악할 수 없음
- 무작위성
- 적절한 분석 방법 선택, 유의수준 설정
- 통계적 유의미성뿐만 아니라 실제로도 의미있는 결과인지 한번 더 판단
- 동일하게 정해진 기간 동안 진행되어야 함 (기간이 짧으면 결과 수집이 어렵고, 너무 길면 사용자들의 행동이 변할 수 있음)
아티클 스터디
양질의 데이터를 판별하는 5가지 방법(5) - 목적에 적합한 데이터인가?
- 요약 : 양질의 데이터를 판별하는 가장 근본적인 방법은 분석과 활용 목적에 적합한 데이터를 선택하는 것! DIKW 피라미드 이론
-
Data 데이터 → Information 정보 → Knowledge 지식 → Wisdom 지혜
-
데이터에서 지혜를 얻기 위해서 정보와 지식의 단계를 거쳐야 함
-
지혜, 지식, 정보를 담고 있는 데이터는 전체 데이터 중 일부임
분석하고자 하는 내용이 담겨 있는 지를 기준으로 양질의 데이터를 판별하는 경우
→ 분석가의 역량에 따라 같은 데이터라도 양질의 데이터인지 여부가 달라질 수 있음
→ 숨은 정보를 끌어낼 수 있는 분석가의 역량도 필요!
분석 방법에 부합한 데이터인지 여부도 고려해야 함
-
머신러닝을 위한 빅데이터
-
인사이트 도출을 위한 빅데이터
- 활용 가치 높은 정보가 데이터에 숨어 있는지 고민
- 인사이트 활용 및 설명을 위 지수(index)개념이 활용되는 경우가 많음
- 즉, 인사이트 도출을 위해서 원천 데이터에서 어느 정도 가공되어야 함
명확한 분석 목적을 가져야 함
- 주요 포인트 :
- DIKW 피라미드 이론
- 분석하고자 하는 내용이 담겨 있는가?
- 분석 방법에 부합한 데이터인가?
- 명확한 분석 목적을 설정했는가?
- 인사이트 : 데이터에서 의미를 찾아내는 과정이 재밌기도 하지만, 분석가의 역량이 받쳐주지 않는다면 아무리 좋은 데이터에서도 유의미한 인사이트를 찾아내지 못 하거나 완전히 잘못된 방향으로 해석할 수도 있다는 게 무섭기도 하다. 많은 경험과 넓은 시야, 비판적이면서도 수용적인 태도가 필요할 것 같다.
[공통 인사이트]
데이터의 양질을 파악하는 것의 기준은 모호하며, 여러 기준에 따라 데이터의 양과 질을 결정하게 된다. 그 중에서도 중요한 것은 분석가의 역량으로 판가름이 난다. 가장 중요한 것은 분석의 목적을 명확하게 잡지 못 한다면 데이터의 품질을 논할 수 없다는 것이다.
Python Standard 1회차
- Long Format과 Wide Format 변환을 이해한다.
- melt, stack, unstack을 활용한 데이터 고급핸들링 기법을 숙지한다.
- 실습을 통해 이를 응용한다.
개념 이해

- Wide Format
- 각 주제 또는 관찰 단위가 단일 행으로 표시되는 구조
- 한 대상에서 측정한 여러 측정값을 모두 한 행에 표시하고
- 열 이름으로 그 측정값의 의미를 나타냄
- Long Format
- 하나의 열에 데이터를 나타내고 다른 열에 데이터에 대응하는 변수를 나타낸 형태
- 데이터를 기록할 때 하나의 관찰값이 하나의 행에 위치하도록 하는 형태
함수
Transpose
- 데이터의 열과 행을 바꿔주는 전치 함수
- 문법: df.T
- 열이 많을 경우 간단한 행렬전환을 통해 구조를 살펴볼 수 있음
- 데이터 크기가 크면 시간이 오래 걸릴 수 있으므로 행렬전환 이전에 구조를 파악해야 함
Pivot Table
- Index, Columns, Values, Aggfunc을 직접 선언하여 테이블을 변환하는 함수로, 특정 열을 기준으로 데이터를 요약하고 새로운 형태의 표로 변환함
- 문법: pd.pivot_table(df, index=컬럼명, columns=컬럼명, values=컬럼명, aggfunc=연산방식)
- index: 인덱스로 사용될 열
- columns: 열로 사용될 열
- values: 값으로 사용될 열
- aggfunc: 연산 방식
- index, values, aggfunc 입력을 list 형식으로 지정할 수 있음
- index와 columns를 list 형식으로 입력하면 멀티 인덱스 기반 피벗테이블이 생성
- values를 list 형식으로 입력하면 각 연산을 포함한 피벗테이블 생성
- 연산 방식: sum, mean, std, count, nunique, max, min
- columns는 생략 가능함
Melt
- 데이터프레임의 컬럼을 열로 바꿔주는 메서드
- 문법: df.melt(id_vars=None, value_vars=None, var_name=None, value_name='value', col_level=None, ignore_index=True)
- id_vars: 기준이 될 열
- value_vars: 기준열에 대한 하위 카테고리를 나열할 열을 선택
- var_name: 카테고리들이 나열된 열의 이름 설정
- value_name: 카테고리들의 값이 나열될 열의 이름 설정
- col_level: multi index의 경우 melt를 수행할 레벨을 설정
- ignore_index: 인덱스를 1,2,3,...,n으로 설정할 지 여부 (디폴트값은 True)
- 피벗 테이블을 기존 형태로 바꿔주는 역할
Stack
- 컬럼을 인덱스의 하위 레벨로 변환
- 문법: df.stack(level=-1, dropna=True)
- level: stack을 수행할 인덱스 레벨 지정 (기본값은 -1로, 마지막 인덱스 레벨을 사용)
- dropna: 스택을 수행한 결과에서 결측값 제거 여부 지정 (기본값은 True)
- 멀티인덱스 처리가 가능함
Unstack
- 인덱스 레벨을 컬럼으로 변환
- 문법: df.unstack(level=-1, fill_value=None)
- level: unstack을 수행할 인덱스 레벨 지정 (기본값은 -1로, 마지막 인덱스 레벨을 사용)
- fill_value: unstack을 수행한 결과에서 결측값을 채울 값 지정 (기본값은 None으로, 결측값을 그대로 둠)
- 멀티인덱스 처리가 가능함
일기

아침부터 통계 라이브세션에, 아티클 스터디, 파이썬 스탠다드 반 수업까지 하니까 빅분기 공부를 할 틈새가 없었다. 사실 틈새는 있었는데 내 체력이 바닥나버림... 통계 공부하느라 파이썬을 잊고, 파이썬 공부하느라 SQL을 잊어버림ㅋ 낼 QCC 걱정이다^^..
이제 슬슬 주말이 필요해지고 있는 거 같다. 공부 시간도 그렇고 내 체력도 그렇고 ㅎㅎㅎ
5월부터는 주말 시간도 생기니까 좀만 더 힘을 내보자! 화이팅,,
점점 얼굴의 생기가 없어지더라니... ㅍㅇㅌ