[LeetCode] Average of Levels in Binary Tree

아르당·2026년 2월 10일

LeetCode

목록 보기
141/305
post-thumbnail

문제를 이해하고 있다면 바로 풀이를 보면 됨
전체 코드로 바로 넘어가도 됨
마음대로 번역해서 오역이 있을 수 있음

Problem

이진 트리 root가 주어졌을 때, 각 레벨 노드들의 평균값을 배열 형태로 반환해라. 실제 답과의 오차 범위가 10^-5 이내인 답도 허용된다.

Example

#1

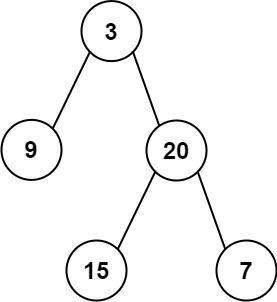
Input: root = [3, 9, 20, null, null, 15, 7]
Output: [3.00000, 14.50000, 11.00000]
Explanation: 레벨 0의 노드 평균값은 3이고, 레벨 1은 14.5이고, 레벨 2는 11이다. 따라서 [3, 14.5, 11]을 반환한다.

#2

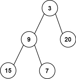
Input: root = [3, 9, 20, 15, 7]
Output: [3.00000, 14.50000, 11.00000]

Constraints

  • 트리에 있는 노드의 수는 [1, 10^4] 범위에 있다.
  • -2^31 <= Node.val <= 2^31 - 1

Solved

/**
 * Definition for a binary tree node.
 * public class TreeNode {
 *     int val;
 *     TreeNode left;
 *     TreeNode right;
 *     TreeNode() {}
 *     TreeNode(int val) { this.val = val; }
 *     TreeNode(int val, TreeNode left, TreeNode right) {
 *         this.val = val;
 *         this.left = left;
 *         this.right = right;
 *     }
 * }
 */
class Solution {
    public List<Double> averageOfLevels(TreeNode root) {
        List<Double> result = new ArrayList<>();

        if(root == null) return result;

        Queue<TreeNode> queue = new LinkedList<>();
        queue.offer(root);

        while(!queue.isEmpty()){
            double sum = 0;
            int n = queue.size();

            for(int i = 0; i < n; i++){
                TreeNode node = queue.poll();
                sum += node.val;

                if(node.left != null) queue.offer(node.left);
                if(node.right != null) queue.offer(node.right);
            }

            result.add(sum / n);
        }

        return result;
    }
}
profile
내 마음대로 코드 작성하는 세상

0개의 댓글