[LeetCode] Binary Tree Inorder Traversal

아르당·2025년 5월 2일

LeetCode

목록 보기
19/305
post-thumbnail

문제를 이해하고 있다면 바로 풀이를 보면 됨
전체 코드로 바로 넘어가도 됨
마음대로 번역해서 오역이 있을 수 있음

Problem

이진트리 root가 주어질 때, 노드들의 값들을 중위 순회하여 반환해라.

Example

#1
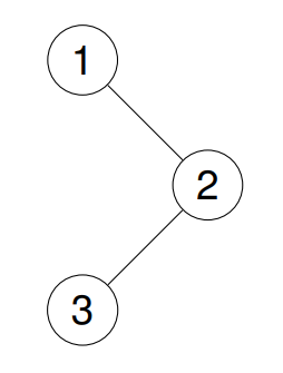
Input: root = [1, null, 2, 3]
Output: [1, 3, 2]
Explanation:

#2
Input: root = [1, 2, 3, 4, 5, null, 8, null, null, 6, 7, 9]
Output: [4, 2, 6, 5, 7, 1, 3, 9, 8]
Explanation:

#3
Input: root = []
Output: []

#4
Input: root = [1]
Output: [1]

Constraints

  • 트리에 있는 노드의 수는 0에서 100 범위에 있다.
  • -100 <= Node.val <= 100

Solved

중위 순회는 왼쪽 - 루트 - 오른쪽 순으로 순회한다.

이번 문제에는 TreeNode라는 클래스를 제공한다.

/**
 * Definition for a binary tree node.
 * public class TreeNode {
 *     int val;
 *     TreeNode left;
 *     TreeNode right;
 *     TreeNode() {}
 *     TreeNode(int val) { this.val = val; }
 *     TreeNode(int val, TreeNode left, TreeNode right) {
 *         this.val = val;
 *         this.left = left;
 *         this.right = right;
 *     }
 * }
 */
class Solution {
    List<Integer> list = new ArrayList<>();

    public List<Integer> inorderTraversal(TreeNode root) {
        if(root != null){
            if(root.left != null){
                inorderTraversal(root.left);
            }
            
            list.add(root.val);
            
            if(root.right != null){
                inorderTraversal(root.right);
            }
        }

        return list;
    }
}
profile
내 마음대로 코드 작성하는 세상

0개의 댓글