[LeetCode] Binary Tree Preorder Trversal

아르당·2025년 9월 17일

LeetCode

목록 보기
33/303
post-thumbnail

문제를 이해하고 있다면 바로 풀이를 보면 됨
전체 코드로 바로 넘어가도 됨
마음대로 번역해서 오역이 있을 수 있음

Problem

이진 트리 root가 주어질 때, 해당 노드 값의 전위 순회를 반환해라.

Example

#1
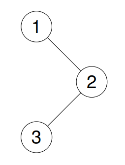
Input: root = [1, null, 2, 3]
Output: [1, 2, 3]
Explanation:

#2
Input: root = [1, 2, 3, 4, 5, null, 8, null, null, 6, 7, 9]
Output: [1, 2, 4, 5, 6, 7, 3, 8, 9]
Explanation:

#3
Input: root = []
Output: []

#4
Input: root = [1]
Output: [1]

Constraints

  • 트리에 있는 노드의 수는 0에서 100 사이에 있다.
  • -100 <= Node.val <= 100

Solved

전위 순회는 부모 노드에서 왼쪽 자식노드, 오른쪽 자식 순으로 순회하면 된다.

/**
 * Definition for a binary tree node.
 * public class TreeNode {
 *     int val;
 *     TreeNode left;
 *     TreeNode right;
 *     TreeNode() {}
 *     TreeNode(int val) { this.val = val; }
 *     TreeNode(int val, TreeNode left, TreeNode right) {
 *         this.val = val;
 *         this.left = left;
 *         this.right = right;
 *     }
 * }
 */
class Solution {
    public List<Integer> preorderTraversal(TreeNode root) {
        List<Integer> result = new ArrayList<>();

        preorderTraversal(root, result);

        return result;
    }

    public void preorderTraversal(TreeNode node, List<Integer> list){
        if(node == null) return;

        list.add(node.val);

        preorderTraversal(node.left, list);
        preorderTraversal(node.right, list);
    }
}
profile
내 마음대로 코드 작성하는 세상

0개의 댓글