[LeetCode] Increasing Order Search Tree

아르당·2026년 3월 11일

LeetCode

목록 보기
194/303
post-thumbnail

문제를 이해하고 있다면 바로 풀이를 보면 됨
전체 코드로 바로 넘어가도 됨
마음대로 번역해서 오역이 있을 수 있음

Problem

이진 탐색 트리 root가 주어졌을 때, 트리의 가장 왼쪽 노드가 루트가 되고, 모든 노드는 왼쪽에 자식이 없고 오른쪽 자식이 하나만 있도록 중위 순회 트리로 재배열해라.

Example

#1

Input: root = [5, 3, 6, 2, 4, null, 8, 1, null, null, null, 7, 9]
Output: [1, null, 2, null, 3, null, 4, null, 5, null, 6, null, 7, null, 8, null, 9]

#2

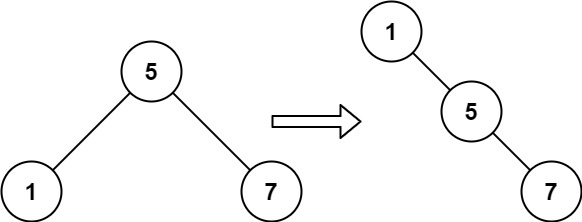
Input: root = [5, 1, 7]
Output: [1, null, 5, null, 7]

Constraints

  • 주어진 트리의 노드 수는 [1, 100] 범위에 있다.
  • 0 <= Node.val <= 1000

Solved

/**
 * Definition for a binary tree node.
 * public class TreeNode {
 *     int val;
 *     TreeNode left;
 *     TreeNode right;
 *     TreeNode() {}
 *     TreeNode(int val) { this.val = val; }
 *     TreeNode(int val, TreeNode left, TreeNode right) {
 *         this.val = val;
 *         this.left = left;
 *         this.right = right;
 *     }
 * }
 */
class Solution {
    public TreeNode increasingBST(TreeNode root) {
        return increasingBST(root, null);
    }

    public TreeNode increasingBST(TreeNode root, TreeNode node) {
        if(root == null){
            return node;
        }

        TreeNode result = increasingBST(root.left, root);
        root.left = null;
        root.right = increasingBST(root.right, node);
        
        return result;
    }
}
profile
내 마음대로 코드 작성하는 세상

0개의 댓글