[LeetCode] Invert Binary Tree

아르당·2025년 10월 30일

LeetCode

목록 보기
55/303
post-thumbnail

문제를 이해하고 있다면 바로 풀이를 보면 됨
전체 코드로 바로 넘어가도 됨
마음대로 번역해서 오역이 있을 수 있음

Problem

이진 트리 root가 주어졌을 때, 트리를 반전하고 root를 반환해라.

Example

#1

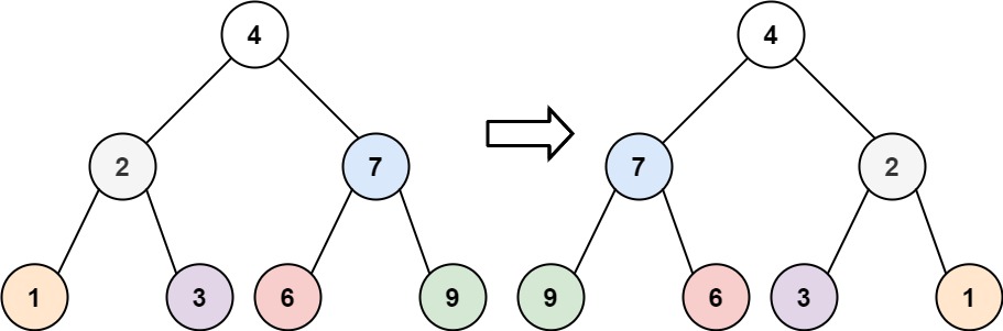
Input: root = [4, 2, 7, 1, 3, 6, 9]
Output: [4, 7, 2, 9, 6, 3, 1]

#2

Input: root = [2, 1, 3]
Output: [2, 3, 1]

#3
Input: root = []
Output: []

Constraints

  • 트리에 노드의 숫자는 0에서 100 범위 안에 있다.
  • -100 <= Node.val <= 100

Solved

/**
 * Definition for a binary tree node.
 * public class TreeNode {
 *     int val;
 *     TreeNode left;
 *     TreeNode right;
 *     TreeNode() {}
 *     TreeNode(int val) { this.val = val; }
 *     TreeNode(int val, TreeNode left, TreeNode right) {
 *         this.val = val;
 *         this.left = left;
 *         this.right = right;
 *     }
 * }
 */
class Solution {
    public TreeNode invertTree(TreeNode root) {
        if(root == null) return null;

        TreeNode left = root.left;
        root.left = root.right;
        root.right = left;

        invertTree(root.left);
        invertTree(root.right);

        return root;
    }
}

해당 노드의 자식 노드를 바꾸면 문제를 해결할 수 있다.

profile
내 마음대로 코드 작성하는 세상

0개의 댓글