[LeetCode] Minimum Distance Between BST Nodes

아르당·2026년 2월 24일

LeetCode

목록 보기
170/303
post-thumbnail

문제를 이해하고 있다면 바로 풀이를 보면 됨
전체 코드로 바로 넘어가도 됨
마음대로 번역해서 오역이 있을 수 있음

Problem

이진 탐색 트리 root가 주어졌을 때, 트리에서 서로 다른 두 노드의 값 사이의 최소 차이를 반환해라.

Example

#1

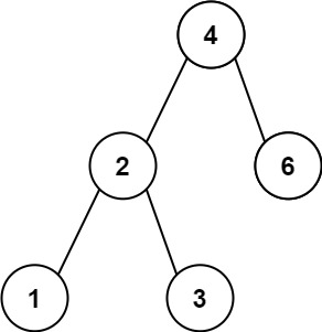
Input: root = [4, 2, 6, 1, 3]
Output: 1

#2

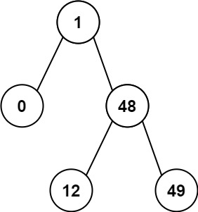
Input: root = [1, 0, 48, null, null, 12, 49]
Output: 1

Constraints

  • 트리의 노드 수는 [2, 200] 범위에 있다.
  • 0 <= Node.val <= 10^5

Solved

/**
 * Definition for a binary tree node.
 * public class TreeNode {
 *     int val;
 *     TreeNode left;
 *     TreeNode right;
 *     TreeNode() {}
 *     TreeNode(int val) { this.val = val; }
 *     TreeNode(int val, TreeNode left, TreeNode right) {
 *         this.val = val;
 *         this.left = left;
 *         this.right = right;
 *     }
 * }
 */
class Solution {
    Integer result = Integer.MAX_VALUE;
    Integer pre = null;

    public int minDiffInBST(TreeNode root) {
        if(root.left != null){
            minDiffInBST(root.left);
        }

        if(pre != null){
            result = Math.min(result, root.val - pre);
        }

        pre = root.val;

        if(root.right != null){
            minDiffInBST(root.right);
        }

        return result;
    }
}
profile
내 마음대로 코드 작성하는 세상

0개의 댓글