[LeetCode] Remove Duplicates from Sorted List

아르당·2025년 4월 30일
0

LeetCode

목록 보기
17/62
post-thumbnail

문제를 이해하고 있다면 바로 풀이를 보면 됨
전체 코드로 바로 넘어가도 됨
마음대로 번역해서 오역이 있을 수 있음

Problem

정렬된 연결 리스트 head가 주어질 때, 중복되는 모든 요소를 삭제하고, 각 요소가 오직 한번만 나타나게 해라. 정렬된 상태로 연결 리스트를 반환해라.

Example

#1

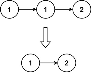
Input: head = [1, 1, 2]
Output: [1, 2]

#2

Input: head = [1, 1, 2, 3, 3]
Output: [1, 2, 3]

Constraints

  • 연결 리스트의 노드 수는 [0, 300] 범위에 있다.
  • -100 <= Node.val <= 100
  • 리스트는 오름차순으로 정렬되어 있는 것을 보장한다.

Solved

이 문제 상단에 주석으로 ListNode 클래스가 주석으로 나와있다.

/**
 * Definition for singly-linked list.
 * public class ListNode {
 *     int val;
 *     ListNode next;
 *     ListNode() {}
 *     ListNode(int val) { this.val = val; }
 *     ListNode(int val, ListNode next) { this.val = val; this.next = next; }
 * }
 */

메서드의 매개변수로 ListNode head를 받는다. head가 null이거나 head의 next가 null이면 head를 반환한다.

public ListNode deleteDuplicates(ListNode head) {
  if(head == null || head.next == null) {
    return head;
  }
}

head의 next가 있다면 deleteDuplicates()를 호출하고 인자로 head.next를 전달해서 head.next를 바꿔준다.

head.next = deleteDuplicates(head.next);

만약 head의 val과 head의 next의 val이 같다면 head.next를 반황한다.

if(head.val == head.next.val) {
  return head.next;
}

다 빠져나왔다면 마지막에 head를 반환한다.

return head;

All Code

/**
 * Definition for singly-linked list.
 * public class ListNode {
 *     int val;
 *     ListNode next;
 *     ListNode() {}
 *     ListNode(int val) { this.val = val; }
 *     ListNode(int val, ListNode next) { this.val = val; this.next = next; }
 * }
 */
class Solution {
    public ListNode deleteDuplicates(ListNode head) {
        if(head == null || head.next == null){
            return head;
        }

        head.next = deleteDuplicates(head.next);

        if(head.val == head.next.val){
            return head.next;
        }

        return head;
    }
}
profile
내 마음대로 코드 작성하는 세상

0개의 댓글