[LeetCode] Search in a Binary Search Tree

아르당·2026년 2월 16일

LeetCode

목록 보기
154/303
post-thumbnail

문제를 이해하고 있다면 바로 풀이를 보면 됨
전체 코드로 바로 넘어가도 됨
마음대로 번역해서 오역이 있을 수 있음

Problem

이진 탐색 트리(BST) root와 정수 val이 주어진다.

BST에서 정수 val과 같은 노드를 찾고, 그 노드를 root로 하는 서브트리를 반환해라. 그런 노드가 존재하지 않으면 null을 반환해라.

Example

#1

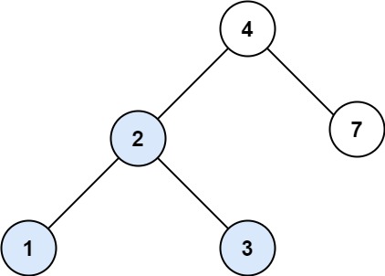
Input: root = [4, 2, 7, 1, 3], val = 2
Output: [2, 1, 3]

#2

Input: root = [4, 2, 7, 1, 3], val = 5
Output: []

Constraints

  • 트리에 노드의 수는 [1, 5000] 범위에 있다.
  • 1 <= Node.val <= 10^7
  • root는 이진 탐색 트리이다.
  • 1 <= val <= 10^7

Solved

/**
 * Definition for a binary tree node.
 * public class TreeNode {
 *     int val;
 *     TreeNode left;
 *     TreeNode right;
 *     TreeNode() {}
 *     TreeNode(int val) { this.val = val; }
 *     TreeNode(int val, TreeNode left, TreeNode right) {
 *         this.val = val;
 *         this.left = left;
 *         this.right = right;
 *     }
 * }
 */
class Solution {
    public TreeNode searchBST(TreeNode root, int val) {
        if(root == null) return null;

        if(root.val == val) return root;
        else if(root.val > val) return searchBST(root.left, val);
        else return searchBST(root.right, val);
    }
}
profile
내 마음대로 코드 작성하는 세상

0개의 댓글