[LeetCode] Two Sum IV - Input is a BST

아르당·2026년 2월 11일

LeetCode

목록 보기
144/303
post-thumbnail

문제를 이해하고 있다면 바로 풀이를 보면 됨
전체 코드로 바로 넘어가도 됨
마음대로 번역해서 오역이 있을 수 있음

Problem

이진 탐색 트리 root와 정수 k가 주어졌을 때, 이진 탐색 트리에 합이 k와 같은 두 요소가 존재한다면 true를 반환하고, 그렇지 않다면 false를 반환해라.

Example

#1

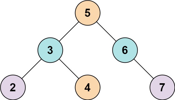
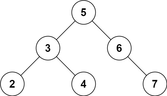
Input: root = [5, 3, 6, 2, 4, null. 7], k = 9
Output: true

#2

Input: root = [5, 3, 6, 2, 4, null, 7], k = 28
Output: false

Constraints

  • 트리에 있는 노드의 수는 [1, 10^4] 범위에 있다.
  • -10^4 <= Node.val <= 10^4
  • root는 유효한 이진 검색 트리임이 보장된다.
  • -10^5 <= k <= 10^5

Solved

/**
 * Definition for a binary tree node.
 * public class TreeNode {
 *     int val;
 *     TreeNode left;
 *     TreeNode right;
 *     TreeNode() {}
 *     TreeNode(int val) { this.val = val; }
 *     TreeNode(int val, TreeNode left, TreeNode right) {
 *         this.val = val;
 *         this.left = left;
 *         this.right = right;
 *     }
 * }
 */
class Solution {
    Set<Integer> set = new HashSet<>();

    public boolean findTarget(TreeNode root, int k) {
        if(root == null) return false;

        if(set.contains(k - root.val)) return true;

        set.add(root.val);

        return findTarget(root.left, k) || findTarget(root.right, k);
    }
}
profile
내 마음대로 코드 작성하는 세상

0개의 댓글