그래프 임베딩은 그래프를 벡터나 벡터 집합으로 변환해주는 것을 말합니다. 아래 그림에서 왼쪽에 있는 그래프의 꼭짓점들을 오른쪽에 있는 2차원 벡터들로 변환할 수 있습니다.

임베딩의 결과는 그래프의 구조, 꼭짓점 간의 관계, 꼭짓점이나 부분그래프와 연관된 다른 기타 부가 정보들을 나타낼 수 있어야 합니다. 다양한 성질을 잘 파악할 수 있도록 여러가지 임베딩 방법들이 계속 연구되고 있습니다.
임베딩은 아래와 같이 크게 두 가지로 나뉩니다.
꼭짓점 임베딩: 각 꼭짓점을 벡터로 표현합니다. 꼭짓점 수준에서 예측을 하거나 시각화할 때 사용되는데 좀 더 자세히 말하면 그래프 하나를 평면에 (위의 그림처럼) 시각화하거나 꼭짓점 유사성을 사용해서 새로운 연결을 예측할 때 (페이스북 친구 추천 등) 사용할 수 있습니다.
그래프 임베딩: 그래프 전체를 벡터로 표현합니다. 그래프 수준(아래 그림이 임베딩으로 나온 결과는 아니지만 ‘그래프 수준’이라는 말을 이해하기에 좋은 그림이라서 첨부했습니다.)에서 예측, 비교, 시각화를 할 때 사용됩니다. 예를 들어, 화학 구조 간의 비교를 생각할 수 있습니다.
그래프 임베딩을 사용하는 이유
그래프는 그 자체로도 데이터의 의미를 잘 표현하고 있고 사람이 그 의미를 알아보기 쉽다는 장점이 있지만 그럼에도 불구하고 그래프 임베딩이 필요한 이유가 있습니다.
그래프에 머신러닝 기법을 직접 적용하는 것은 한계가 있습니다. 그래프는 꼭짓점과 그들을 연결하는 선으로 이루어져 있는데 이것만 사용하기에는 제한이 있습니다. 반면에 그래프를 벡터공간에서 표현해주면 이미 연구된 결과를 가지고 더 다양한 시도를 해볼 수 있습니다.
임베딩은 압축된 표현이라서 공간 효율이 좋습니다. 그래프의 꼭짓점의 개수를 N이라고 할 때, (각 행과 각 열이 꼭짓점을 나타내고 0이 아닌 값은 연결되어있음을 의미하는) 인접행렬(adjacency matrix)의 크기는 N×N 입니다. 그래프가 크면 이 행렬을 다른 알고리즘에 직접 사용하는 건 사실상 불가능합니다. 반면에 그래프를 정해진 차원에 임베딩하면 인접행렬에 비해 훨씬 공간 절약을 할 수 있습니다. 예를 들어, 꼭짓점이 1만 개인 그래프를 20차원에 임베딩한다고 생각하면, 인접행렬의 크기는 1억이고 임베딩 결과의 크기는 20만입니다.
DeepWalk, node2vec, SDNE는 그래프의 꼭짓점을 벡터로 변환하는 꼭짓점 임베딩이고 Graph2vec는 그래프 하나를 하나의 벡터로 바꾸는 그래프 임베딩
DeepWalk는 랜덤 워크(random walk) 를 사용해서 임베딩을 생성합니다. 랜덤 워크는 말그대로 꼭짓점 위를 임의로 걸어다니는 것을 말합니다. 한 꼭짓점에서 시작해서 임의의 이웃으로 가고 또 그 꼭짓점의 임의의 이웃으로 정해진 횟수만큼 이동합니다. 이렇게 이동했을 때 방문한 꼭짓점들의 나열한 것을 랜덤 워크라고 합니다.
DeepWalk는 아래 세 단계로 구성됩니다.

샘플링: 입력된 그래프에서 랜덤 워크를 샘플링합니다. 각 꼭짓점에서 출발하는 랜덤 워크를 여러 개씩 생성합니다. 논문에서는 각 노드별로 랜덤 워크를 32~64개씩 만들고 랜덤 워크의 길이는 약 40이 좋다고 합니다.
Skip-gram 학습: 위에서 생성된 랜덤 위크는 word2vec에서 문장에 대응됩니다. Skip-gram 신경망은 원-핫 인코딩된 꼭짓점 벡터을 입력으로 받고 근처에 있는 꼭짓점을 잘 예측하도록 학습합니다. 이 때, 앞뒤로 꼭짓점 10개를 봅니다.
임베딩 계산: 임베딩으로 위 신경망에서 은닉층의 출력값을 씁니다. DeepWalk는 주어진 그래프의 모든 꼭짓점의 임베딩을 계산합니다.
DeepWalk는 랜덤 워크를 임의로 만들기 때문에 각각의 랜덤 워크에서 앞뒤를 잘 파악했더라도 원래 그래프로 돌아왔을 때 꼭짓점의 주변 이웃을 잘 파악하지 못할 수 있다는 단점이 있습니다. 다음에 나오는 node2vec에서 그 점을 보완합니다.
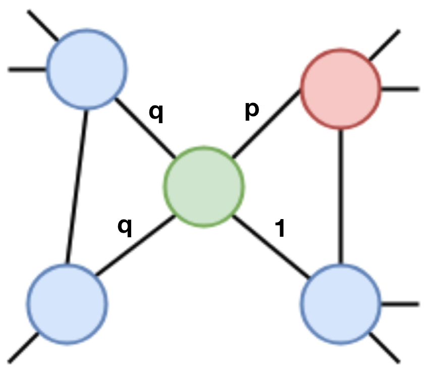
Node2vec은 DeepWalk에서 랜덤 워크를 생성하는 방법을 발전시킨 방법입니다. 대략 설명하면 파라미터 p, q가 있는데, 랜덤 워크를 만들 때 p는 직전 꼭짓점으로 돌아올 가능성을 조절하고 q는 직전 꼭짓점으로부터 얼마나 멀어질지를 조절합니다. 즉, p는 주변을 얼마나 잘 탐색하는지에 대한 파라미터이고 q는 랜덤 워크가 얼마나 새로운 곳을 잘 발견하고 탐색하는지에 대한 파라미터입니다.

왼쪽 그래프에서 랜덤 워크가 진행 중인데 빨간색 꼭짓점에서 초록색 꼭짓점으로 넘어온 상황을 생각해봅시다. 다시 빨간색으로 돌아올 확률은 p/(p+2q+1), 빨간색과 초록색의 공통 이웃으로 움직일 확률은 1/(p+2q+1), 빨간색으로부터 더 멀어질 확률은 2*(q/(p+2q+1))로 랜덤 워크가 진행됩니다. p와 q를 조절해서 목적에 맞는 임베딩을 찾을 수 있습니다.
다른 단계(skip-gram 학습, 임베딩 계산)는 deepWalk와 같고 따라서, p=q=1인 경우의 node2vec은 deepWalk와 같습니다.
SDNE(Structural Deep Network Embedding)는 랜덤 워크를 쓰지 않기 때문에 위 두 방법과는 크게 다른 방법입니다. 이 방법을 소개하는 이유는 다양한 영역에서 성능이 안정적이기 때문입니다.
SDNE의 장점은 한 단계 이웃관계과 두 단계 이웃관계를 잘 반영한다는 것인데 각각의 의미는 아래와 같습니다.
한 단계 이웃관계는 연결된 두 꼭짓점 간의 비슷한 정도를 즉, 상대적으로 좁은 관계를 의미합니다. 어떤 논문이 다른 논문을 인용했다면 비슷한 내용을 다뤘다는 것을 의미하듯이 두 꼭짓점이 연결되어 있으면 두 꼭짓점의 임베딩은 서로 비슷해야 합니다.
두 단계 이웃관계는 각 꼭짓점의 주변 구조가 얼마나 비슷한지를 즉, 상대적으로 넓은 관계를 의미합니다. 지수가 킬링 이브, 스캄 프랑스, 리틀 드러머 걸을 좋아하고 지은이가 킬링 이브, 스캄 프랑스, 체르노빌을 좋아하면 (많이 겹쳤다고 가정하자.) 둘의 취향은 비슷할 가능성이 높습니다.
그래프의 인접행렬의 한 행을, 그 행에 대응되는 꼭짓점의 인접벡터라고 부르는데 정의에 의해 이웃한 꼭짓점들에 해당하는 좌표의 값이 1이고 나머지는 0인 벡터가 됩니다. 꼭짓점의 인접벡터가 아래 그림에 나오는 오토인코더의 입력값입니다. 이 오토인코더를 바닐라 오토인코더라고 부르는데 두 단계 이웃관계를 학습하게 됩니다.

양쪽(그림에서 오른쪽과 왼쪽)에서 나온 임베딩의 거리를 계산하고 이 값을 신경망의 손실함수에 포함합니다. 선으로 연결된 모든 두 꼭짓점쌍에 대해 거리를 계산하여 더함으로써 모델이 한 단계 이웃관계를 잘 표현할 수 있게 됩니다.
SDNE 모델의 전체 손실함수를 오토인코더의 손실함수와 위에서 계산한 거리를 더한 값으로 정해서 SDNE가 한 단계 이웃관계과 두 단계 이웃관계를 모두 잘 표현할 수 있도록 합니다.
마지막으로 소개할 방법은 그래프 전체를 벡터로 변환하는 것입니다. 즉, 벡터 하나가 그래프 전체를 묘사합니다. 지금까지 나온 방법 중 성능이 가장 좋은 graph2vec를 소개하겠습니다.

Graph2vec은 doc2vec이 skip-gram을 사용한 아이디어를 기초로 합니다. 간단히 요약하면, 문서(document)의 아이디를 입력값으로 받고 문서에 포함된 단어를 예측하기 위한 학습을 하는 방법입니다.
Graph2vec은 아래 세 단계로 구성됩니다.
그래프의 모든 뿌리가 있는 부분그래프(rooted subgraphs)를 샘플링하고 레이블을 다시 지정합니다. 그 결과로 위 그림에서 m개의 subgraph를 얻습니다. 여기에서 뿌리가 있는 부분그래프는 특정 꼭짓점(뿌리)을 중심으로 정해진 거리 안에 있는 꼭짓점의 집합입니다.
skip-gram 모델을 학습합니다. 문서는 단어(혹은 문장)의 집합이고 그래프는 부분그래프의 집합이기 때문에 그래프를 문서와 비슷하게 볼 수 있습니다. 이런 관점으로 입력된 그래프에 부분그래프가 있을 확률을 계산하는 skip-gram 모델을 학습합니다. 입력 그래프는 원-핫 인코딩된 벡터의 형태로 들어옵니다.
그래프의 아이디가 원-핫 인코딩 되어 들어오면 임베딩을 계산합니다. DeepWalk와 마찬가지로 은닉층의 결과가 임베딩이 됩니다.
모델이 부분그래프를 예측하도록 설계되어있기 때문에 두 그래프가 비슷한 부분그래프를 가지면, 즉 비슷한 구조를 가지면 비슷한 임베딩이 나오게 됩니다.