평균
모집단의 평균 = 모평균(μ, 뮤)
μ = (ΣX)/N모집단의 표준편차(standard deviation)
= 모표준편차(σ, 시그마)
모수치
μ와 σ표본의 평균 = 표본평균(x̄, 엑스바)
x̄ = (ΣX)/N표본의 표준편차 = 표본표준편차(s, 에스)
표본수치
x̄와 sstandard error & standard deviation

표준편차(Standard Deviation)

표준오차(Standard Error)


샘플링 오류를 줄이기 위해서는 모집단에서 여러 번 표본추출을 하여 여러 표본 그룹이 있어야 하지만 현실적인 이유로 불가능한 경우가 대다수
자유도(degree of freedom, df)
자유도는 주로 다음과 같은 상황에서 사용:
자유도 개념이 중요한 이유
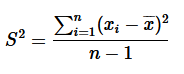
불편 분산(unbiased variance)
자유도와 불편 분산
더 알고 싶으면 여기