
= 빛의 물리적인 특성과 메테리얼의 물리적인 특성을 렌더링해준다.
= 3d와 video를 굉장히 현실적으로 만들어주는 렌더링 기술

PBR은 incoming light의 E를 계산해서 처리후의 E가 보존되도록 계산해준다.
= opaque surface(not metallic, nor transparent)에서의 반사 정의

Photon-surface interaction
- Uniform diffuse contribution
entire hemisphere / 어떤 방향으로 photon이 들어올 때, uncorrelated(무작위)하게 방향을 바꿔준다- Specular contribution
거울에 반사된 것 처럼 / 같은 방향으로 오는 photon은 같은 방향으로 나간다.- Directional diffuse contribution
반구를 기준으로 반사가 되는데, 방향성을 가지고 뻗어나간다. correlated way
Lambertian diffuse model
isotropic(방향성 없이 전방향으로 균일하게) , Lambert’s cosine law를 따르며
대부분의 현실 물체에서 잘 동작하며 간단하다.
Lambert’s cosine law
부채꼴의 넓이로 광자량을 정의 -> 밝기 고려

= microfacet-based models 사용
= material 표면에서의 complex light interaction 때 사용
popular microfacet-based models
- Cook Torrance
- GGX
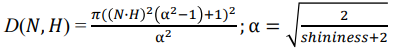
- Normal Distribution Term (D) = shape of the specular highlight
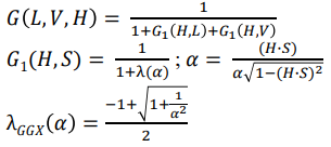
- Geometric Attenuation Term (G)
- Fresnel Term (F)
- L : light direction
- H : half vector
- V : view vector

= 내가 half vector을 기준으로 빛이 어떻게 들어왔는지를 고려해서 반사될 애를 결정

= 그림자지지도 occuled 되지 않는 것의 비율이 어느정도인지를 파악
- Shadowing effect: this occurs when one facet blocks light.
- Masking effect: this occurs when one facet obscure the microfacets from the viewer’s perspective.

수식들의 디테일까지 설명할 필요는 없지망~
= 얼마나 많은 light가 surface로부터 reflection 될지
= Fresnel equation에 기반함
두개의 서로다른 매질이 있을 때 어떻게 통과 or 반사할 것이냐!
90도에서 들어오면 모두 반사 / 아니면 뭐.. 더 파고들고 우짜고

= E보존법칙도 지키고, 물리적으로 그럴듯한 결과를 낼 수 있다.


= first law of thermodynamics : 열역학 제1법칙
= 이론상 E의 loss는 있을 수 있지만
= translucents, fabrics, anisotropic materials


ex) 안개
PBR - 두가지가 main component
- BRDF : 입사각 반사각 노말로 구성
세가지 contribution이 연관되어있음
평면에 빛이 입사됐을 떄 어떻게 반사가 될지를 정의해줘야함.
아주작은 microfacet으로 이루어진 평면을 다룸 -> cook GGX
또 수학적으로 잘 뭉개줌..
어느정도로 반사?굴절?흡수? -> schliks apporox 사용