
RAG-Sequence Model : RAG-Sequence model 의 경우 동일하게 검색된 문서를 사용하여 target sequence 를 생성한다. top-K approximation 을 통해 seq2seq prob 를 얻기 위해서 검색된 passage 자체를 marginalized 시켜서 사용한다.

RAG-Token Model : RAG-Token Model은 각 target token에 대해 다른 latent passage를 사용한다. 이를 통해 generator는 답변을 생성할 때 여러 document에서 내용을 선택할 수 있다.



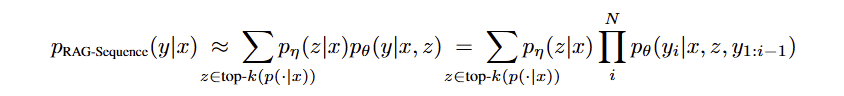
Test 및 Decoding 하는 방법에서 각 모델에 따라서 각각 를 근사하는 방법이 다르다.
RAG-Token

RAG-Sequence
개인적으로 저는 golden retriever 선호합니다