
이산 확률 분포(Discrete probability distribution)은 이산 확률 변수가 가지는 확률 분포를 말한다. 여기에서 확률 변수가 이산 확률 변수라는 것은 우리가 흔히 셀 수 있는 개수가 존재하는 것을 의미하며, 이산 확률 분포는 확률 질량 함수라는 것에 의해서 표현이 가능하다.
먼저 간단한 예시를 통해서 이야기해보자. 확률 문제를 다룰 때 가장 쉽게 생각할 수 있는 것이 바로 동전 던지기이다. 동전은 head와 tail의 경우가 존재하며 각각이 나올 확률은 1/2로 동일하다. 그렇다면 동전을 여러번 던지는데 head가 나올 때 까지 던지는 확률은 어떻게 구할 수 있을까?
우리는 이렇게 동전을 몇번 던지는지에 따른 확률을 계산할 수 있다. 그리고 이를 통해서 우리는 다음과 같은 정의를 알 수 있다.
아무래도 확률이다 보니 0보다는 커야 하면서, 모든 경우에 대해서 확률을 더하면 1이 나와야 한다. 이렇게 확률 변수에 따라 확률이 어떻게 흩어져있는지를 나타내는 것이 확률 분포이고 이를 함수 f(x)에 대응시키게 되는데, 우리는 이러한 가산의 상황에서의 함수를 확률 질량 함수(probability mass function)이라고 한다.
만약 확률 변수 X에 대해서 특정 값보다 작거나 같은 확률은 어떻게 나타낼 수 있을까? 우리는 이러한 경우를 누적 분포 함수(cumulative distribution function)를 통해서 구할 수 있으며, 이는 확률 변수가 특정 값보다 작거나 같은 확률을 나타내는 함수이다. 여기서 누적이라는 단어는 특정 값보다 작은 확률을 모두 누적해서 구한다는 의미인 셈이다. 동전 던지기를 예를 들면 이러한 이야기이다. 우리는 위에서 P(X = 1), P(X = 2)와 같이 특정 케이스에 대한 확률을 구할 수 있었다. 즉, 동전을 한번 던져서 앞면이 나올 확률, 동전을 두번 던져서 앞면이 나올 확률과 같은 식으로 말이다. 이번에는 동전을 두번 던졌을 때 앞면이 나올 모든 확률과 같은 것이 궁금한 것이다. 두번 던졌을 때, 첫번째에 나올 수도 있고 두번째에 나올 수도 있는 것이다. 우리가 궁금한건 이러한 모든 경우에 대해서 확률이 어떤지이다. 먼저 정의를 살펴보자.
그리고 F(x)의 성질은 다음과 같다.
이번에는 주사위를 예시로 확률 질량 함수와 누적 분포 함수를 구해보려고 한다. 확률 변수는 두번을 던졌을 때, 더 큰 수가 나오는 경우를 생각해보자.
확률 질량 함수의 경우는 하나씩 세어보면 쉽게 구할 수 있다. 왜냐하면 이산 확률 분포에 대한 것이기 때문에 우리는 세는 것이 가능하기 때문이다. 그리고 이를 범위에 따라서 더하다 보면 쉽게 누적 분포 함수도 구할 수 있게 된다.
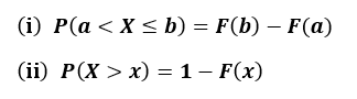
추가로 누적 분포 함수에서 알고 넘어가야 할 부분이 있다.
정의대로 생각하면 당연한 이야기이지만, 알고 있으면 나중에 계산할 때 편할 수 있다. 누적 해서 더하다 보니 위와 같은 연산이 가능한 것이다.