
컴퓨터네트워크 - DevWoony가 복습을 위해서 전공과목을 정리하는 내용이에요!
본격적인 Access network와 Netwrok core를 알아보기전에 네트워크를 구성하는 물리적인 것들과 배경지식을 보고가자.
네트워크에서 protocol이란!
1. 메세지들의 format과 order을 정의하는 것!
2. 메세지에 대한 actions 또는 events을 정의하는 것
3. 즉, 데이터를 주고받기 위한 약속이다.
4. 인터넷에서 모든 communication은 protocol로 정의되어 있다.
네트워크에서 Host는 데이터의 packet(=chunk)를 보내는 주체이다.
어플리케이션에서 데이터를 전송하기 위해서 packet 단위로 쪼개야 한다.
그 packet이 access network의 link로 전환되기까지 걸린 시간을 transmission rate(=link capacity, =link bandwidth)이라고 한다.
이라고 가정하면 다음 L bit의 packet이 link로 가기까지 걸리는 시간을 의미하는 pakcet trasmission delay 에 대한 식은 다음을 만족한다.

데이터가 전송하기 위해 link를 구성하는 요소들이다.
Guided media : 동축선, 섬유와 같은 물리적 고체 선을 통해 신호를 전파하는 것
Twisted Pair(TP)
Category 3 : 과거 10 Mbps를 가지는 전화선 이더넷
Category 5 : 100Mbps 이더넷

Coaxial cable
shield를 가지는 동축선
bidirectional 양방향
10Mbps 이더넷에 주로 사용

Fiber optic cable
빛을 통하여 초고속 신호를 전송하는 유리섬유
100Mbps 이더넷
에러가 적음

Unguided media : 라디오와 같이 자유롭게 신호를 전파하는 것

network edge : hosts = client and server
빨강색 - Access networks, physical media
: 유선 또는 무선의 communications link를 가지는 네트워크
초록색 - Network core
: router들의 연결 집합, 네트워크들의 네트워크

빨간점 - edge router
Access network 영역을 자세히 보면 end system들의 특성이 다른것을 확인할 수 있다. 무선으로 연결하는 노트북, 모바일 등과 같은 것들이 있는가 반면 집에서만 사용하는 기계들 그리고 대형 인프라가 구축되어 있는 네트워크 등과 같이 다양한 네트워크들이 access network들로 정의되고 있는 것을 확인할 수 있다.
Acess network는 edge router의 연결하는 방법으로 크게 3가지로 구분한다.
1. residential access networks
2. instituition access networks
3. mobile access networks
각 access network에서 중요한 것은 전송율을 의미하는 bandwidth(bit per second)가 중요하다. 또한 shared인지 dedicated 회선인지에 따라 access network의 특성이 다르다.

인터넷선이 보급되기전에 존재했던 dedicated 전화선을 사용하는 방식이다. 전화선이 모이는 central office의 DSLAM이 전화와 인터넷을 구분하여 telephone network와 ISP netwrok로 전달해주는 multiplexer 역할을 한다. 해당 네트워크의 속도 사양은 다음과 같다.

Frequency division multiplexing이라는 서로 다른 chanel들이 서로 다른 대역폭에서 전송되는 방식이다.

각 가정집에서 shared 회선을 사용한다. HFC(Hybrid fiber coax)라는 광동축 혼합망이다. 비디오, 데이터, 음성과 같은 광대역 컨텐츠를 운송하기 위한 네트워크에서 사용되며 서로 다른 부분에서 광섬유 케이블과 동축케이블을 사용하는 통신기술이다. 해당 네트워크의 사양은 다음과 같다.
앞서 설명한 DSL의 central office의 dedicated 회선을 쓰는점과 다르게 shared 회선을 사용한다.

전형적인 홈 네트워크이다. 그림에서 wireless accss point는 주로 우리가 알고있는 공유기이며 여러 장치들이 이곳에 연결할 수 있다.

주로 회사와 학교에서 쓰이는 네트워크 구성이다. 10 Mbps, 100Mbps, 1Gbps, 10Gbps 등 다양한 transmission rates이 존재할 수 있다. 오늘날 많은 end systems들은 전형적으로 enterprice 급 네트워크의 Ethernet switch로 연결된다.

end system들이 무선으로 네트워크를 공유하며 라우터로 연결되는 네트워크를 의미한다. base station 또는 access point라고 불리는 router와 연결된 지점이 존재한다. wireless LANs 와 wide-area wireless access가 존재한다. 각각의 특징은 위 그림과 같다.




end-end의 자원은 source와 dest사이의 "call"을 위해 동적으로 예약된다.




packet switching은 보다 많은 user가 network에서 허용할때 유리하다.
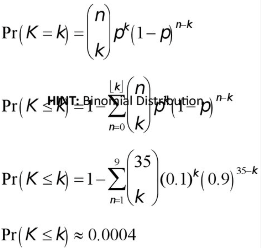
예제 )

단점은 막대한 데이터를 전송할시 delay와 loss가 발생한다는 점이여 프로토콜에서 reliable data transfer과 congestion control을 요구하게 된다.
출처: [Computer Networking: A Top-Down Approach]