MNIST Dataset이란 우편 번호를 자동으로 인식하고자 만든 학습 데이터셋. 로지스틱 모형으로 해당 기능을 구현해보쟛!

# mnistData.ipynb
import tensorflow as tf
import numpy as np
from tensorflow.keras import datasets
mnist = datasets.mnist
(train_x, train_y), (test_x, test_y) = mnist.load_data()
train_x.shape, test_x.shape
>> ((60000, 28, 28), (10000, 28, 28))
image = train_x[0]
image.shape
>> (28, 28)
import matplotlib.pyplot as plt
plt.imshow(image, 'gray')
plt.show()

train_y.shape
>> (60000,)
train_y[0]
>> 5
from tensorflow.keras.utils import to_categorical
to_categorical(1, 5) # 5개 중에 1번째가 핫~
>> array([0., 1., 0., 0., 0.], dtype=float32)
label = train_y[0]
label
>> 5
to_categorical(label, 10)
>> array([0., 0., 0., 0., 0., 1., 0., 0., 0., 0.], dtype=float32)
이 경우, 통계학의 dummy variable 개념을 이용하여 아래와 같이 데이터 변환하여 0,1로 구성



# mnist_softmax_tf2.ipynb
import tensorflow as tf
import numpy as np
from tensorflow.keras import datasets
from tensorflow.keras.utils import to_categorical
mnist = datasets.mnist
(train_x, train_y), (test_x, test_y) = mnist.load_data()
print(train_x.shape)
np.max(train_x[0]), np.min(train_x[0])
>> (60000, 28, 28)
>> (255, 0)
train_x[0]
>> array([[ 0, 0, 0, 0, 0, 0, 0, 0, 0, 0, 0, 0, 0,
0, 0, 0, 0, 0, 0, 0, 0, 0, 0, 0, 0, 0,
0, 0],
[ 0, 0, 0, 0, 0, 0, 0, 0, 0, 0, 0, 0, 0,
0, 0, 0, 0, 0, 0, 0, 0, 0, 0, 0, 0, 0,
0, 0],
[ 0, 0, 0, 0, 0, 0, 0, 0, 0, 0, 0, 0, 0,
0, 0, 0, 0, 0, 0, 0, 0, 0, 0, 0, 0, 0,
0, 0],
[ 0, 0, 0, 0, 0, 0, 0, 0, 0, 0, 0, 0, 0,
0, 0, 0, 0, 0, 0, 0, 0, 0, 0, 0, 0, 0,
0, 0],
[ 0, 0, 0, 0, 0, 0, 0, 0, 0, 0, 0, 0, 0,
0, 0, 0, 0, 0, 0, 0, 0, 0, 0, 0, 0, 0,
0, 0],
[ 0, 0, 0, 0, 0, 0, 0, 0, 0, 0, 0, 0, 3,
18, 18, 18, 126, 136, 175, 26, 166, 255, 247, 127, 0, 0,
0, 0],
[ 0, 0, 0, 0, 0, 0, 0, 0, 30, 36, 94, 154, 170,
253, 253, 253, 253, 253, 225, 172, 253, 242, 195, 64, 0, 0,
0, 0],
[ 0, 0, 0, 0, 0, 0, 0, 49, 238, 253, 253, 253, 253,
253, 253, 253, 253, 251, 93, 82, 82, 56, 39, 0, 0, 0,
0, 0],
[ 0, 0, 0, 0, 0, 0, 0, 18, 219, 253, 253, 253, 253,
253, 198, 182, 247, 241, 0, 0, 0, 0, 0, 0, 0, 0,
0, 0],
[ 0, 0, 0, 0, 0, 0, 0, 0, 80, 156, 107, 253, 253,
205, 11, 0, 43, 154, 0, 0, 0, 0, 0, 0, 0, 0,
0, 0],
[ 0, 0, 0, 0, 0, 0, 0, 0, 0, 14, 1, 154, 253,
90, 0, 0, 0, 0, 0, 0, 0, 0, 0, 0, 0, 0,
0, 0],
[ 0, 0, 0, 0, 0, 0, 0, 0, 0, 0, 0, 139, 253,
190, 2, 0, 0, 0, 0, 0, 0, 0, 0, 0, 0, 0,
0, 0],
[ 0, 0, 0, 0, 0, 0, 0, 0, 0, 0, 0, 11, 190,
253, 70, 0, 0, 0, 0, 0, 0, 0, 0, 0, 0, 0,
0, 0],
[ 0, 0, 0, 0, 0, 0, 0, 0, 0, 0, 0, 0, 35,
241, 225, 160, 108, 1, 0, 0, 0, 0, 0, 0, 0, 0,
0, 0],
[ 0, 0, 0, 0, 0, 0, 0, 0, 0, 0, 0, 0, 0,
81, 240, 253, 253, 119, 25, 0, 0, 0, 0, 0, 0, 0,
0, 0],
[ 0, 0, 0, 0, 0, 0, 0, 0, 0, 0, 0, 0, 0,
0, 45, 186, 253, 253, 150, 27, 0, 0, 0, 0, 0, 0,
0, 0],
[ 0, 0, 0, 0, 0, 0, 0, 0, 0, 0, 0, 0, 0,
0, 0, 16, 93, 252, 253, 187, 0, 0, 0, 0, 0, 0,
0, 0],
[ 0, 0, 0, 0, 0, 0, 0, 0, 0, 0, 0, 0, 0,
0, 0, 0, 0, 249, 253, 249, 64, 0, 0, 0, 0, 0,
0, 0],
[ 0, 0, 0, 0, 0, 0, 0, 0, 0, 0, 0, 0, 0,
0, 46, 130, 183, 253, 253, 207, 2, 0, 0, 0, 0, 0,
0, 0],
[ 0, 0, 0, 0, 0, 0, 0, 0, 0, 0, 0, 0, 39,
148, 229, 253, 253, 253, 250, 182, 0, 0, 0, 0, 0, 0,
0, 0],
[ 0, 0, 0, 0, 0, 0, 0, 0, 0, 0, 24, 114, 221,
253, 253, 253, 253, 201, 78, 0, 0, 0, 0, 0, 0, 0,
0, 0],
[ 0, 0, 0, 0, 0, 0, 0, 0, 23, 66, 213, 253, 253,
253, 253, 198, 81, 2, 0, 0, 0, 0, 0, 0, 0, 0,
0, 0],
[ 0, 0, 0, 0, 0, 0, 18, 171, 219, 253, 253, 253, 253,
195, 80, 9, 0, 0, 0, 0, 0, 0, 0, 0, 0, 0,
0, 0],
[ 0, 0, 0, 0, 55, 172, 226, 253, 253, 253, 253, 244, 133,
11, 0, 0, 0, 0, 0, 0, 0, 0, 0, 0, 0, 0,
0, 0],
[ 0, 0, 0, 0, 136, 253, 253, 253, 212, 135, 132, 16, 0,
0, 0, 0, 0, 0, 0, 0, 0, 0, 0, 0, 0, 0,
0, 0],
[ 0, 0, 0, 0, 0, 0, 0, 0, 0, 0, 0, 0, 0,
0, 0, 0, 0, 0, 0, 0, 0, 0, 0, 0, 0, 0,
0, 0],
[ 0, 0, 0, 0, 0, 0, 0, 0, 0, 0, 0, 0, 0,
0, 0, 0, 0, 0, 0, 0, 0, 0, 0, 0, 0, 0,
0, 0],
[ 0, 0, 0, 0, 0, 0, 0, 0, 0, 0, 0, 0, 0,
0, 0, 0, 0, 0, 0, 0, 0, 0, 0, 0, 0, 0,
0, 0]], dtype=uint8)
train_x = train_x.reshape(-1,784)
test_x = test_x.reshape(-1,784)
train_x.shape, test_x.shape
>> ((60000, 784), (10000, 784))
train_x = train_x / 255 # 표준화
test_x = test_x / 255
train_x[0]
>> array([0. , 0. , 0. , 0. , 0. ,
0. , 0. , 0. , 0. , 0. ,
0. , 0. , 0. , 0. , 0. ,
0. , 0. , 0. , 0. , 0. ,
0. , 0. , 0. , 0. , 0. ,
0. , 0. , 0. , 0. , 0. ,
0. , 0. , 0. , 0. , 0. ,
0. , 0. , 0. , 0. , 0. ,
0. , 0. , 0. , 0. , 0. ,
0. , 0. , 0. , 0. , 0. ,
0. , 0. , 0. , 0. , 0. ,
0. , 0. , 0. , 0. , 0. ,
0. , 0. , 0. , 0. , 0. ,
0. , 0. , 0. , 0. , 0. ,
0. , 0. , 0. , 0. , 0. ,
0. , 0. , 0. , 0. , 0. ,
0. , 0. , 0. , 0. , 0. ,
0. , 0. , 0. , 0. , 0. ,
0. , 0. , 0. , 0. , 0. ,
0. , 0. , 0. , 0. , 0. ,
0. , 0. , 0. , 0. , 0. ,
0. , 0. , 0. , 0. , 0. ,
0. , 0. , 0. , 0. , 0. ,
0. , 0. , 0. , 0. , 0. ,
0. , 0. , 0. , 0. , 0. ,
0. , 0. , 0. , 0. , 0. ,
0. , 0. , 0. , 0. , 0. ,
0. , 0. , 0. , 0. , 0. ,
0. , 0. , 0. , 0. , 0. ,
0. , 0. , 0. , 0. , 0. ,
0. , 0. , 0.01176471, 0.07058824, 0.07058824,
0.07058824, 0.49411765, 0.53333333, 0.68627451, 0.10196078,
0.65098039, 1. , 0.96862745, 0.49803922, 0. ,
0. , 0. , 0. , 0. , 0. ,
0. , 0. , 0. , 0. , 0. ,
0. , 0.11764706, 0.14117647, 0.36862745, 0.60392157,
0.66666667, 0.99215686, 0.99215686, 0.99215686, 0.99215686,
0.99215686, 0.88235294, 0.6745098 , 0.99215686, 0.94901961,
0.76470588, 0.25098039, 0. , 0. , 0. ,
0. , 0. , 0. , 0. , 0. ,
0. , 0. , 0. , 0.19215686, 0.93333333,
0.99215686, 0.99215686, 0.99215686, 0.99215686, 0.99215686,
0.99215686, 0.99215686, 0.99215686, 0.98431373, 0.36470588,
0.32156863, 0.32156863, 0.21960784, 0.15294118, 0. ,
0. , 0. , 0. , 0. , 0. ,
0. , 0. , 0. , 0. , 0. ,
0. , 0.07058824, 0.85882353, 0.99215686, 0.99215686,
0.99215686, 0.99215686, 0.99215686, 0.77647059, 0.71372549,
0.96862745, 0.94509804, 0. , 0. , 0. ,
0. , 0. , 0. , 0. , 0. ,
0. , 0. , 0. , 0. , 0. ,
0. , 0. , 0. , 0. , 0. ,
0.31372549, 0.61176471, 0.41960784, 0.99215686, 0.99215686,
0.80392157, 0.04313725, 0. , 0.16862745, 0.60392157,
0. , 0. , 0. , 0. , 0. ,
0. , 0. , 0. , 0. , 0. ,
0. , 0. , 0. , 0. , 0. ,
0. , 0. , 0. , 0. , 0.05490196,
0.00392157, 0.60392157, 0.99215686, 0.35294118, 0. ,
0. , 0. , 0. , 0. , 0. ,
0. , 0. , 0. , 0. , 0. ,
0. , 0. , 0. , 0. , 0. ,
0. , 0. , 0. , 0. , 0. ,
0. , 0. , 0. , 0. , 0.54509804,
0.99215686, 0.74509804, 0.00784314, 0. , 0. ,
0. , 0. , 0. , 0. , 0. ,
0. , 0. , 0. , 0. , 0. ,
0. , 0. , 0. , 0. , 0. ,
0. , 0. , 0. , 0. , 0. ,
0. , 0. , 0.04313725, 0.74509804, 0.99215686,
0.2745098 , 0. , 0. , 0. , 0. ,
0. , 0. , 0. , 0. , 0. ,
0. , 0. , 0. , 0. , 0. ,
0. , 0. , 0. , 0. , 0. ,
0. , 0. , 0. , 0. , 0. ,
0. , 0.1372549 , 0.94509804, 0.88235294, 0.62745098,
0.42352941, 0.00392157, 0. , 0. , 0. ,
0. , 0. , 0. , 0. , 0. ,
0. , 0. , 0. , 0. , 0. ,
0. , 0. , 0. , 0. , 0. ,
0. , 0. , 0. , 0. , 0. ,
0.31764706, 0.94117647, 0.99215686, 0.99215686, 0.46666667,
0.09803922, 0. , 0. , 0. , 0. ,
0. , 0. , 0. , 0. , 0. ,
0. , 0. , 0. , 0. , 0. ,
0. , 0. , 0. , 0. , 0. ,
0. , 0. , 0. , 0. , 0.17647059,
0.72941176, 0.99215686, 0.99215686, 0.58823529, 0.10588235,
0. , 0. , 0. , 0. , 0. ,
0. , 0. , 0. , 0. , 0. ,
0. , 0. , 0. , 0. , 0. ,
0. , 0. , 0. , 0. , 0. ,
0. , 0. , 0. , 0.0627451 , 0.36470588,
0.98823529, 0.99215686, 0.73333333, 0. , 0. ,
0. , 0. , 0. , 0. , 0. ,
0. , 0. , 0. , 0. , 0. ,
0. , 0. , 0. , 0. , 0. ,
0. , 0. , 0. , 0. , 0. ,
0. , 0. , 0. , 0.97647059, 0.99215686,
0.97647059, 0.25098039, 0. , 0. , 0. ,
0. , 0. , 0. , 0. , 0. ,
0. , 0. , 0. , 0. , 0. ,
0. , 0. , 0. , 0. , 0. ,
0. , 0. , 0. , 0.18039216, 0.50980392,
0.71764706, 0.99215686, 0.99215686, 0.81176471, 0.00784314,
0. , 0. , 0. , 0. , 0. ,
0. , 0. , 0. , 0. , 0. ,
0. , 0. , 0. , 0. , 0. ,
0. , 0. , 0. , 0. , 0.15294118,
0.58039216, 0.89803922, 0.99215686, 0.99215686, 0.99215686,
0.98039216, 0.71372549, 0. , 0. , 0. ,
0. , 0. , 0. , 0. , 0. ,
0. , 0. , 0. , 0. , 0. ,
0. , 0. , 0. , 0. , 0. ,
0.09411765, 0.44705882, 0.86666667, 0.99215686, 0.99215686,
0.99215686, 0.99215686, 0.78823529, 0.30588235, 0. ,
0. , 0. , 0. , 0. , 0. ,
0. , 0. , 0. , 0. , 0. ,
0. , 0. , 0. , 0. , 0. ,
0. , 0.09019608, 0.25882353, 0.83529412, 0.99215686,
0.99215686, 0.99215686, 0.99215686, 0.77647059, 0.31764706,
0.00784314, 0. , 0. , 0. , 0. ,
0. , 0. , 0. , 0. , 0. ,
0. , 0. , 0. , 0. , 0. ,
0. , 0. , 0.07058824, 0.67058824, 0.85882353,
0.99215686, 0.99215686, 0.99215686, 0.99215686, 0.76470588,
0.31372549, 0.03529412, 0. , 0. , 0. ,
0. , 0. , 0. , 0. , 0. ,
0. , 0. , 0. , 0. , 0. ,
0. , 0. , 0. , 0.21568627, 0.6745098 ,
0.88627451, 0.99215686, 0.99215686, 0.99215686, 0.99215686,
0.95686275, 0.52156863, 0.04313725, 0. , 0. ,
0. , 0. , 0. , 0. , 0. ,
0. , 0. , 0. , 0. , 0. ,
0. , 0. , 0. , 0. , 0. ,
0. , 0.53333333, 0.99215686, 0.99215686, 0.99215686,
0.83137255, 0.52941176, 0.51764706, 0.0627451 , 0. ,
0. , 0. , 0. , 0. , 0. ,
0. , 0. , 0. , 0. , 0. ,
0. , 0. , 0. , 0. , 0. ,
0. , 0. , 0. , 0. , 0. ,
0. , 0. , 0. , 0. , 0. ,
0. , 0. , 0. , 0. , 0. ,
0. , 0. , 0. , 0. , 0. ,
0. , 0. , 0. , 0. , 0. ,
0. , 0. , 0. , 0. , 0. ,
0. , 0. , 0. , 0. , 0. ,
0. , 0. , 0. , 0. , 0. ,
0. , 0. , 0. , 0. , 0. ,
0. , 0. , 0. , 0. , 0. ,
0. , 0. , 0. , 0. , 0. ,
0. , 0. , 0. , 0. , 0. ,
0. , 0. , 0. , 0. , 0. ,
0. , 0. , 0. , 0. , 0. ,
0. , 0. , 0. , 0. , 0. ,
0. , 0. , 0. , 0. , 0. ,
0. , 0. , 0. , 0. ])
train_y_onehot = to_categorical(train_y) # one hot encoding
test_y_onehot = to_categorical(test_y)
train_y_onehot[0]
>> array([0., 0., 0., 0., 0., 1., 0., 0., 0., 0.], dtype=float32)
from tensorflow.keras import layers
model = tf.keras.Sequential()
model.add(layers.Dense(10, activation='softmax', input_dim=784))
model.compile(optimizer='sgd',loss='categorical_crossentropy',metrics=['accuracy'])
model.fit(train_x,train_y_onehot,epochs=5)
>> Epoch 1/5
1875/1875 [==============================] - 6s 3ms/step - loss: 0.7664 - accuracy: 0.8215 - val_loss: 0.4793 - val_accuracy: 0.8843
Epoch 2/5
1875/1875 [==============================] - 6s 3ms/step - loss: 0.4546 - accuracy: 0.8818 - val_loss: 0.3998 - val_accuracy: 0.8964
Epoch 3/5
1875/1875 [==============================] - 4s 2ms/step - loss: 0.4026 - accuracy: 0.8917 - val_loss: 0.3670 - val_accuracy: 0.9040
Epoch 4/5
1875/1875 [==============================] - 4s 2ms/step - loss: 0.3766 - accuracy: 0.8970 - val_loss: 0.3481 - val_accuracy: 0.9069
Epoch 5/5
1875/1875 [==============================] - 4s 2ms/step - loss: 0.3599 - accuracy: 0.9003 - val_loss: 0.3370 - val_accuracy: 0.9098
model.evaluate(train_x, train_y_onehot)
>> 1875/1875 [==============================] - 3s 2ms/step - loss: 0.3527 - accuracy: 0.9031
[0.35273510217666626, 0.9031000137329102]
model.evaluate(test_x,test_y_onehot)
>> 313/313 [==============================] - 1s 3ms/step - loss: 0.4212 - accuracy: 0.8920
[0.4211805760860443, 0.8920000195503235]
predicted = model.predict(test_x)
predicted[0],test_y_onehot[0]
>> (array([3.04816407e-04, 9.52855601e-07, 1.77901296e-04, 2.51405081e-03,
4.47172351e-05, 1.08292574e-04, 2.74398462e-06, 9.93954301e-01,
2.43925446e-04, 2.64819362e-03], dtype=float32),
array([0., 0., 0., 0., 0., 0., 0., 1., 0., 0.], dtype=float32))
model.fit(train_x, train_y_onehot, validation_data=(test_x, test_y_onehot), batch_size = 100, epochs=5)
>> Epoch 1/5
600/600 [==============================] - 3s 3ms/step - loss: 1.1547 - accuracy: 0.7371 - val_loss: 0.7217 - val_accuracy: 0.8473
Epoch 2/5
600/600 [==============================] - 2s 3ms/step - loss: 0.6479 - accuracy: 0.8513 - val_loss: 0.5521 - val_accuracy: 0.8721
Epoch 3/5
600/600 [==============================] - 3s 5ms/step - loss: 0.5402 - accuracy: 0.8668 - val_loss: 0.4842 - val_accuracy: 0.8819
Epoch 4/5
600/600 [==============================] - 2s 3ms/step - loss: 0.4883 - accuracy: 0.8759 - val_loss: 0.4463 - val_accuracy: 0.8888
Epoch 5/5
600/600 [==============================] - 2s 3ms/step - loss: 0.4563 - accuracy: 0.8815 - val_loss: 0.4212 - val_accuracy: 0.8920
model.evaluate(train_x, train_y_onehot)
>> 1875/1875 [==============================] - 3s 2ms/step - loss: 0.4435 - accuracy: 0.8838
[0.4435127377510071, 0.8837666511535645]
model.evaluate(test_x, test_y_onehot)
>> 313/313 [==============================] - 1s 3ms/step - loss: 0.4212 - accuracy: 0.8920
[0.4211805760860443, 0.8920000195503235]
predicted = model.predict(test_x)
>> 313/313 [==============================] - 1s 1ms/step
predicted[0], test_y_onehot[0]
>> (array([5.3943484e-04, 2.3173239e-05, 4.9038179e-04, 2.3329458e-03,
5.1109842e-04, 4.1478052e-04, 5.0893617e-05, 9.8665601e-01,
5.5489421e-04, 8.4262872e-03], dtype=float32),
array([0., 0., 0., 0., 0., 0., 0., 1., 0., 0.], dtype=float32))




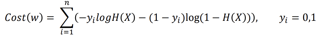
binominal regression을 multinomial regression으로 계산하기 위해 softmax 도입
같은 데이터를 두 개의 엔트로피 식으로 계산한 결과
#CrossEntropy.py
import math
y=[0,1,1,0] # binary
hypothesis=[0.3, 0.7, 0.6, 0.2]
# y에 대한 확률값. 첫번째 객체가 1일 확률이 0.3, 1일 확률 0.7, 1일 확률 0.6, 0일 확률 0.2
sum=0.
for i in range(4):
sum += -y[i]*math.log(hypothesis[i])-(1-y[i])*math.log(1-hypothesis[i])
crossEntropy=sum/4
print (crossEntropy)
>> 0.36182976573941633
# 이번엔 똑같은 데이터에 대해 ont-hot-encoding으로 표현.
y1Hot=[[1,0],[0,1],[0,1],[1,0]]
#hypothesis1Hot: [prob Y=0, prob Y=1]
hypothesis1Hot=[[0.7,0.3],[0.3,0.7],[0.4,0.6],[0.8,0.2]]
# (0일 확률이 0.7,1일 확률이 0.3)
sum1=0.
for i in range(4):
sum2=0.
for j in range(2):
sum2+=-y1Hot[i][j]*math.log(hypothesis1Hot[i][j])
sum1+=sum2
crossEntropy1Hot=sum1/4
print (crossEntropy1Hot)
>> 0.36182976573941633

역시 데ㅐ마왕!