
액션 (Action)상태에 어떠한 변화가 필요하게 될 땐 액션이란 것을 발생시킨다. 액션은 하나의 객체로 표현이 된다.액션 객체는 type 필드를 필수적으로 가지고 있어야하고 그 외의 값들은 마음대로 넣어줄 수 있다.액션을 만드는 함수로 단순히 파라미터를 받아와 액션
기존의 리덕스 ducks패턴의 요소들이 전체적인 코드의 양을 늘린다는 불편함으로 인해 개량한 것리덕스와 구조나 패러다임이 모두 똑같다. (dispatch,useSelector 사용)모듈 부분만 차이가 있다.configStore.jsindex.jscounter.jsApp

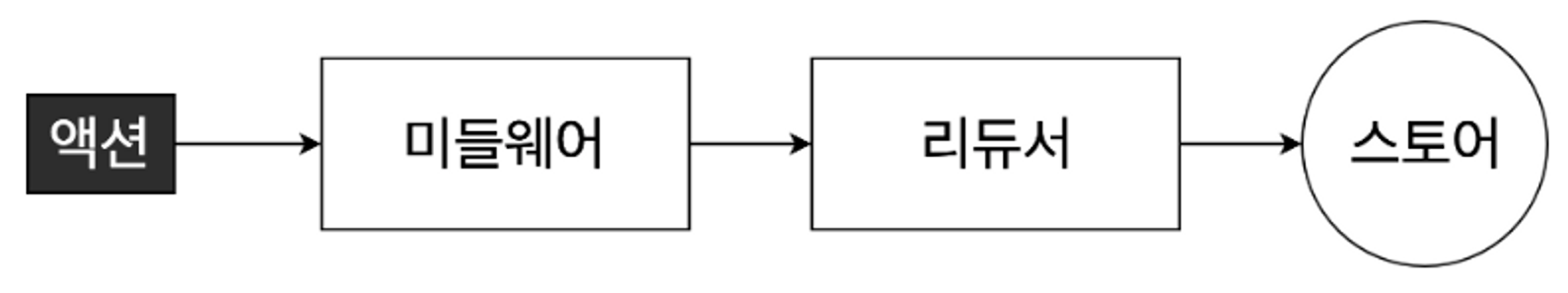
리덕스에서 dispatch를 하면 action이 리듀서로 전달이 되고, 리듀서는 새로운 state를 반환한다.근데 미들웨어를 사용하면 이 과정 사이에 우리가 하고 싶은 작업들을 넣어서 할 수 있다. 만약 counter 프로그램에서 더하기 버튼을 클릭했을 때 바로 +1를

redux : 상태를 전역적으로 관리해주는 라이브러리상태(=데이터)를 어떤 유형의 ui로 가공하는가가 핵심이다!One way bindingTwo way binding : Anguler(데이터-ui) Flux에서의 단방향 데이터 흐름단방향 데이터 흐름은 Flux 패턴의