leetcode

1.leetcode 21(Merge Two Sorted Lists) - Java

post-thumbnail

2.leetcode 121(Best Time to Buy and Sell Stock) - Java

post-thumbnail

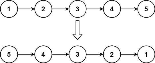
3.leetcode 206(Reverse Linked List) - Java

post-thumbnail

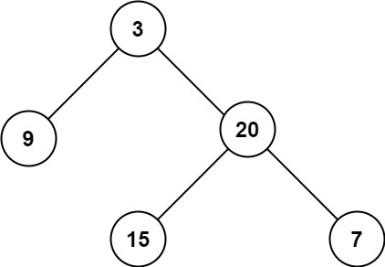
4.leetcode 993 (Cousins in Binary Tree) - Java

post-thumbnail

5.leetcode 104 (Maximum Depth of Binary Tree) - Java

post-thumbnail

6.leetcode 100 (Same Tree) - Java

post-thumbnail

7.leetcode 704(Binary Search) - java

post-thumbnail