순전파
입력데이터를 입력층에서부터 출력층까지 정방향으로 이동시키며 출력 값을 예측해 나가는 과정
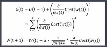
역전파
출력층에서 발생한 에러를 입력층 쪽으로 전파시키면서 최적의 결과를 학습해 나가는 과정





→ 최대치가 0.3이 아니라 0.2














import numpy as np
import pandas as pd
import matplotlib.pyplot as plt
from tensorflow.keras import Sequential
from tensorflow.keras.layers import Dense, InputLayer, Flatten
from tensorflow.keras.optimizers import SGD, Adam
from tensorflow.keras.datasets import mnist
(X_train, y_train), (X_test, y_test) = mnist.load_data()
X_train.shape, y_train.shape, X_test.shape, y_test.shape

# 1. 모델 설계(model1, model2, model3)
# 뼈대
model1 = Sequential()
#입력층
model1.add(InputLayer(input_shape = (28, 28)))
# 중간층(총 5개의 층, units = 64, 128, 256, 128, 64)
model1.add(Flatten())
model1.add(Dense(units = 64, activation = 'sigmoid'))
model1.add(Dense(units = 128, activation = 'sigmoid'))
model1.add(Dense(units = 256, activation = 'sigmoid')) # 항아리 모양처럼 쌓아주자
model1.add(Dense(units = 128, activation = 'sigmoid'))
model1.add(Dense(units = 64, activation = 'sigmoid'))
# 출력층
model1.add(Dense(units = 10, activation = 'softmax'))
# 2. 학습 방법 및 평가 방법 설정 # optimizer : 'SGD'
model1.compile(loss = 'sparse_categorical_crossentropy',
optimizer = 'SGD',
metrics = ['accuracy'])
# 3. 학습(h1, h2, h3)
h1 = model1.fit(X_train, y_train,
validation_split = 0.2,
epochs = 20)
# 4. 평가
model1.evaluate(X_test, y_test)

# 1. 모델 설계(model1, model2, model3)
# 뼈대
model2 = Sequential()
# 입력층
model2.add(InputLayer(input_shape = (28, 28)))
# 중간층(총 5개의 층, units = 64, 128, 256, 128, 64)
model2.add(Flatten())
model2.add(Dense(units = 64, activation = 'relu'))
model2.add(Dense(units = 128, activation = 'relu'))
model2.add(Dense(units = 256, activation = 'relu'))
model2.add(Dense(units = 128, activation = 'relu'))
model2.add(Dense(units = 64, activation = 'relu'))
#출력층
model2.add(Dense(units = 10, activation = 'softmax'))
# 2. 학습 방법 및 평가 방법 설정 # optimizer : 'SGD'
model2.compile(loss = 'sparse_categorical_crossentropy',
optimizer = 'SGD',
metrics = ['accuracy'])
# 3. 학습(h1, h2, h3)
h2 = model2.fit(X_train, y_train,
validation_split = 0.2,
epochs = 20)
# 4. 평가
model2.evaluate(X_test, y_test)

# 1. 모델 설계(model1, model2, model3)
# 뼈대
model2 = Sequential()
# 입력층
model2.add(InputLayer(input_shape = (28, 28)))
# 중간층(총 5개의 층, units = 64, 128, 256, 128, 64)
model2.add(Flatten())
model2.add(Dense(units = 64, activation = 'relu'))
model2.add(Dense(units = 128, activation = 'relu'))
model2.add(Dense(units = 256, activation = 'relu'))
model2.add(Dense(units = 128, activation = 'relu'))
model2.add(Dense(units = 64, activation = 'relu'))
#출력층
model2.add(Dense(units = 10, activation = 'softmax'))
# 2. 학습 방법 및 평가 방법 설정 # optimizer : 'SGD'
model2.compile(loss = 'sparse_categorical_crossentropy',
optimizer = SGD(learning_rate=0.001),
# SGD 함수의 기본 학습률 0.01 → 0.001(학습률 낮춰보기)
# 중간층의 활성화함수를 relu로 변경하면서 오차가 줄어들지 않게됨
# 에러가 큰 값이 그대로 전달되는 것을 줄여주기 위함
metrics = ['accuracy'])
# 3. 학습(h1, h2, h3)
h2 = model2.fit(X_train, y_train,
validation_split = 0.2,
epochs = 20)
# 4. 평가
model2.evaluate(X_test, y_test)

# 1. 모델 설계(model1, model2, model3)
# 뼈대
model3 = Sequential()
# 입력층
model3.add(InputLayer(input_shape = (28, 28)))
# 중간층(총 5개의 층, units = 64, 128, 256, 128, 64)
model3.add(Flatten())
model3.add(Dense(units = 64, activation = 'relu'))
model3.add(Dense(units = 128, activation = 'relu'))
model3.add(Dense(units = 256, activation = 'relu'))
model3.add(Dense(units = 128, activation = 'relu'))
model3.add(Dense(units = 64, activation = 'relu'))
# 출력층
model3.add(Dense(units = 10, activation = 'softmax'))
# 2. 학습 방법 및 평가 방법 설정 # optimizer : 'Adam'
model3.compile(loss = 'sparse_categorical_crossentropy',
optimizer = 'Adam',
metrics = ['accuracy'])
# 3. 학습(h1, h2, h3)
h3 = model3.fit(X_train, y_train,
validation_split = 0.2,
epochs = 20)
# 4. 평가
model3.evaluate(X_test, y_test)

# h1 → accuracy, val_accuracy
# h2 → accuracy, val_accuracy
# h3 → accuracy, val_accuracy
plt.figure(figsize = (15,5))
plt.plot(h1.history['accuracy'], label = 'sigmoid+SGD train acc')
plt.plot(h1.history['val_accuracy'], label = 'sigmoid+SGD validation acc')
plt.plot(h2.history['accuracy'], label = 'relu+SGD train acc')
plt.plot(h2.history['val_accuracy'], label = 'relu+SGD validation acc')
plt.plot(h3.history['accuracy'], label = 'relu+Adam train acc')
plt.plot(h3.history['val_accuracy'], label = 'relu+Adam validation acc')
plt.legend() # 범례
plt.show()


from tensorflow.keras.callbacks import ModelCheckpoint, EarlyStopping
# 모델 중간 저장 : ModelCheckpoint
# 모델 중간 멈춤 : EarlyStopping
# 모델을 저장 할 경로 설정(경로 변경 후 사용 할 것)
model_path = '/content/drive/MyDrive/Colab Notebooks/DeepLearning/data/digit_model/dm_{epoch:02d}_{val_accuracy:0.2f}.hdf5'
mc = ModelCheckpoint(filepath = model_path, # 모델을 저장 할 경로
verbose = 1,
# 로그출력 : 0(로그출력 X), 1(로그출력 O), 몇 번째에 저장되는지 확인이 가능
save_best_only = True,
# 모델 성능이 최고점을 갱신할 때만 저장(False 설정 시 매 epoch 마다 저장)
monitor = 'val_accuracy') # 모델의 성능을 확인 할 기준
# 일반화 확인을 위하여 val_accuracy로 선택!
# 모델 저장 객체 생성 완료~
# 하지만 사용은 아직 안한 것! → 학습 시 객체를 불러와서 사용 할 것!
es = EarlyStopping(monitor='val_accuracy', # 학습을 중단 할 기준
verbose = 1, # 로그출력
patience = 10) # 모델 성능 개선을 기다리는 최대 횟수
# 조기 학습 중단 객체 생성 완료~
# 1. 모델 설계
# 뼈대
model1 = Sequential()
#입력층
model1.add(InputLayer(input_shape = (28, 28)))
# 중간층(총 5개의 층, units = 64, 128, 256, 128, 64)
model1.add(Flatten())
model1.add(Dense(units = 64, activation = 'sigmoid'))
model1.add(Dense(units = 128, activation = 'sigmoid'))
model1.add(Dense(units = 256, activation = 'sigmoid')) # 항아리 모양처럼 쌓아주자
model1.add(Dense(units = 128, activation = 'sigmoid'))
model1.add(Dense(units = 64, activation = 'sigmoid'))
# 출력층
model1.add(Dense(units = 10, activation = 'softmax'))
# 2. 학습 방법 및 평가 방법 설정
model1.compile(loss = 'sparse_categorical_crossentropy',
optimizer = 'SGD',
metrics = ['accuracy'])
# 3. 학습
h1 = model1.fit(X_train, y_train,
validation_split = 0.2,
epochs = 1000,
callbacks = [mc, es])
# 4. 평가
model1.evaluate(X_test, y_test)


# 모델을 저장 할 경로 설정(경로 변경 후 사용 할 것)
model_path = '/content/drive/MyDrive/Colab Notebooks/DeepLearning/data/best_model/dm_{epoch:02d}_{val_accuracy:0.2f}.hdf5'
mc1 = ModelCheckpoint(filepath = model_path, # 모델을 저장 할 경로
verbose = 1,
# 로그출력 : 0(로그출력 X), 1(로그출력 O), 몇 번째에 저장되는지 확인이 가능
save_best_only = True,
# 모델 성능이 최고점을 갱신할 때만 저장(False 설정 시 매 epoch 마다 저장)
monitor = 'val_accuracy') # 모델의 성능을 확인 할 기준
# 일반화 확인을 위하여 val_accuracy로 선택!
# 모델 저장 객체 생성 완료~
# 하지만 사용은 아직 안한 것! → 학습 시 객체를 불러와서 사용 할 것!
es1 = EarlyStopping(monitor='val_accuracy', # 학습을 중단 할 기준
verbose = 1, # 로그출력
patience = 10) # 모델 성능 개선을 기다리는 최대 횟수
# 조기 학습 중단 객체 생성 완료~
# 1. 모델 설계(model1, model2, model3)
# 뼈대
model3 = Sequential()
# 입력층
model3.add(InputLayer(input_shape = (28, 28)))
# 중간층(총 5개의 층, units = 64, 128, 256, 128, 64)
model3.add(Flatten())
model3.add(Dense(units = 64, activation = 'relu'))
model3.add(Dense(units = 128, activation = 'relu'))
model3.add(Dense(units = 256, activation = 'relu'))
model3.add(Dense(units = 128, activation = 'relu'))
model3.add(Dense(units = 64, activation = 'relu'))
# 출력층
model3.add(Dense(units = 10, activation = 'softmax'))
# 2. 학습 방법 및 평가 방법 설정 # optimizer : 'Adam'
model3.compile(loss = 'sparse_categorical_crossentropy',
optimizer = 'Adam',
metrics = ['accuracy'])
# 3. 학습(h1, h2, h3)
h3 = model3.fit(X_train, y_train,
validation_split = 0.2,
epochs = 1000, batch_size = 128,
callbacks = [mc1, es1])
# 4. 평가
model3.evaluate(X_test, y_test)


# 파이썬에서 이미지를 처리하는 라이브러리
import PIL.Image as pimg
img = pimg.open('/content/drive/MyDrive/Colab Notebooks/DeepLearning/data/손글씨/0.png')
plt.imshow(img, cmap = 'gray')

# 이미지 컬러이미지 → 흑백 이미지로 변경
img = img.convert('L')
img = np.array(img)
img.shape

# 2차원 → 1차원(flatten)
testimg = img.reshape(1, 28, 28, 1)
testimg = testimg.astype('float32')/255
testimg.shape

from tensorflow.keras.models import load_model
best_model = load_model('/content/drive/MyDrive/Colab Notebooks/DeepLearning/data/best_model/dm_19_0.97.hdf5')
best_model.evaluate(X_test, y_test)

best_model.predict(testimg)
# 10개의 확률값 출력

best_model.predict(testimg).argmax()

# test 데이터에 대해서는 높은 성능을 보였으나
# 우리가 작성한 손글씨에서는 낮은 정확도를 보이더라
# 왜?
# 제공된 데이터는 데이터의 크기와 모양이 일정하게 정제되어있음
# 하지만 우리의 데이터는 모양과 위치가 학습 데이터와 일치하지 않기 떄문에 결과가 별로
# Dense 층은 1차원 데이터만 학습이 가능하더라
# 이미지는 2차원 데이터(우리가 억지로 1차원으로 만들어서 학습)
# 픽셀 하나하나의 색 정보만 학습할뿐 이미지 전체적인 특성을 학습하는 것이 아니다보니
# 숫자의 모양, 크기, 위치가 변경되면 예측률이 떨어지더라~