출처 - 1
Webpack?
- 현대 javascript Application의 static module bundler 입니다.
- Webpack이 실행 된다면 Dependencies Graph를 통해 필요한 형태의 하나 또는 여러개의 Bundle로 생성 합니다.
Bundle?
- 소프트웨어 및 일부 하드웨어와 함께 작동하는데 필요한 모든것을 포함하는 Package
- 각각의 모듈들에 대해 의존성 관계를 파악하여(Dependencies Graph) 하나 또는 여러개의 그룹으로 불 수 있습니다.
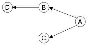
의존성 그래프
- 수학, 컴퓨터 과학 및 디지털 전자에서 종속성 그래프 A는 방향 그래프로, 서로를 향해 여러 개체의 종속성을 나타내는것.
