
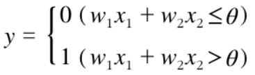
x1, x2 : 입력신호
y : 출력 신호
w1, w2 : 가중치
그림에서 원 : 뉴런 or 노드라고 함

가중치와 편향 도입하여 AND gate 수정
\theta를 -b로 치환하면 다음과 같이 식이 변경됨

여기서 b : 편향 (bias)
🌿 가중치와 편향의 역할
퍼셉트론은 XOR 게이트를 표현 못함
퍼셉트론의 장점 - 층을 쌓을 수 있다
=> 퍼셉트론의 #층을 쌓아 구현한 '다층 퍼셉트론'으로 XOR 게이트 구현 가능!

가중치 갖는 층 수만 셈 => 위에껀 2층 퍼셉트론임
💡 단층 퍼셉트론으로 표현하지 못한 것을 다층 퍼셉트론으로 표현 가능함!