
출처 : https://laboputer.github.io/ps/2017/10/06/priorityqueue/
우선순위가 있는 대상을 관리해야 하는 경우가 많다. 예를들어 CPU나 다른 자원을 무겁게 사용하면서 며칠 동안 수행해야할 작업이 있다면 다른 작업들의 동작을 방해할 수 있으므로 우선순위를 대폭 낮추어놓고 작업할 수 있다. 이렇게 해두면 다른 작업이 자원을 필요로 할 때 양보했다가 한가한 시간에 주로 해당 작업을 수행할 수 있다.
우선순위 큐를 구현하는 대표적인 자료구조 중 한개가 힙인데, 힙을 통해서 우선순위 큐를 구현해본다.
힙은 대표적인 우선순위 큐이며, 완전 이진 트리(Complete Binary Tree)구조를 사용한다. 트리란 노드들이 위에서 아래로 부모-자식 관계로 매달린 것을 말한다. 부모라고 해서 두 노드를 가지는 것이 아닌, 하나의 노드만을 가진다. 모든 노드가 2개 이하의 자식을 갖는 트리를 이진 트리(Binary Tree)라 한다.

포화 이진 트리란 루트로부터 시작해 모든 노드가 정확히 자식 노드를 2개씩 가지면서 꽉 채워진 트리를 말한다.
자식이 하나도 없는 노드를 리프 노드(Leaf Node) 또는 말단 노드(Terminal Node)라고 하는데, 포화 이진 트리에서 리프 노드들은 모두 맨 아래 레벨에 자리하게 된다.즉, 포화 이진 트리가 되려면 노드의 총 수가 1,3,7,15,31 ... 과 같이 무조건 이 되어야한다.

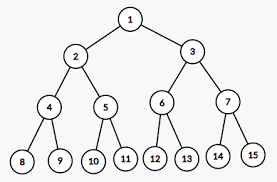
포화 이진 트리와 달리 노드 수가 맞지 않아 최대한 포화 이진트리에 가깝게 만든 것이 '완전 이진 트리(Complete Binary Tree)' 이다. 루트로 부터 시작해서 모든 노드가 지식을 2개씩 가지면서 내려가는 것은 완전 이진 트리와 포화 이진트리가 동일 하다. 노드의 수가 개가 되지 못하면 맨 아래 레벨을 모두 채울 수 가 없는데 이 경우 왼쪽부터 차례로 채운 것이 완전 이진 트리이다.
힙은 다음의 두가지 조건을 만족해야 한다.
원소를 삽입한다. o
최소 원소를 알려주면서 삭제한다. o
최소 원소를 알려준다.o
우선순위 큐가 비어 있는지 확인한다. o
우선순위 큐를 깨끗이 비운다.
class priorityQueueMinHeap<T> {
heap: (T | undefined)[];
numHeap: number;
constructor(numHeap: number) {
this.heap = new Array(numHeap);
this.numHeap = 0;
}
public insert(newItem: T) {
try {
if (this.numHeap >= this.heap.length) {
throw new Error("HeapErr: Overflow!");
}
this.heap[this.numHeap] = newItem;
this.percolateUp(newItem, this.numHeap);
this.numHeap++;
// **error객체 사용법 알아보기**
} catch (error: unknown) {
if (error instanceof Error) {
console.log(error.message);
}
}
}
private percolateUp(newItem: T, node: number) {
let parentsNode = Math.floor((node - 1) / 2);
if (parentsNode >= 0 && this.heap[node]! < this.heap[parentsNode]!) {
// 바꾸기
let temp = this.heap[parentsNode];
this.heap[parentsNode] = this.heap[node];
this.heap[node] = temp;
this.percolateUp(newItem, parentsNode);
}
}
public print() {
return (console.log(this.heap.join("-")));
}
public deleteMin() {
//왼쪽 자식의 인덱스 : (부모의 인덱스) * 2 + 1
//오른쪽 자식의 인덱스 : (부모의 인덱스) * 2 + 2
let min = this.heap[0];
this.heap[0] = this.heap[this.numHeap - 1];
this.heap[this.numHeap - 1] = undefined;
this.numHeap--;
this.percolateDown(0);
return console.log(`삭제된 최소 값 : ${min}`);
}
private percolateDown(parentIndex: number) {
let leftChild = parentIndex * 2 + 1;
let rightChild = parentIndex * 2 + 2;
if (leftChild >= this.numHeap-1) return;
let minChild;
if (rightChild >= this.numHeap-1) {
minChild = leftChild;
} else {
minChild = this.heap[leftChild]! > this.heap[rightChild]! ? rightChild : leftChild;
}
if (this.heap[minChild]! < this.heap[parentIndex]!) {
let temp = this.heap[parentIndex];
this.heap[parentIndex] = this.heap[minChild];
this.heap[minChild] = temp;
this.percolateDown(minChild);
}
}
public min(){
console.log(`현재의 최소값은 : ${this.heap[0]}`)
return this.heap[0];
}
public isEmpty(){
console.log(`empty 상태는 : ${this.heap.filter(node => node!==undefined).length > 0}`)
return this.heap.filter(node => node!==undefined).length>0;
}
public clear(){
this.heap = new Array(this.numHeap);
}
}
let heap = new priorityQueueMinHeap<Number>(6);
heap.isEmpty();
heap.insert(4);
heap.insert(1);
heap.insert(3);
heap.insert(6);
heap.insert(5);
heap.insert(2);
heap.deleteMin();
heap.min();
heap.isEmpty();
heap.print();
heap.clear();
heap.print();
// node priorityQueue.js