Index(인덱스)는 SELECT를 사용하여 DB를 조회할 때 성능 향상을 위한 기능.
일반적으로 1개의 컬럼에 1개의 Index(인덱스)를 사용함.
클러스터형 인덱스(Clustered Index)기본 키(PK)로 지정하면 자동 생성됨.1개만 만들 수 있음.기본 키(PK)는 1개만 지정할 수 있기 때문.자동 정렬됨.Ex) 영어단어 사전.보조 인덱스(Secondary Index)고유 보조 인덱스 (Unique Secondary Index), 단순 보조 인덱스 (Simple/Non-Unique Secondary Index)로 나눌 수 있음.CREATE INDEX 또는 고유 키(UK)를 이용하여 생성.고유 키(UK)로 지정하면 자동 생성됨.여러 개 만들 수 있음.Ex) 책 뒤쪽에 있는 찾아보기.장점
SELECT 성능 향상.단점
쓰기(INSERT, UPDATE, DELETE)작업이 자주 발생하면 오히려 성능이 저하됨.CREATE TABLE tmp (
col1 INT PRIMARY KEY,
col2 INT,
col3 INT
);
SHOW INDEX FROM tmp;
SHOW INDEX: 인덱스 정보 확인.
Key_name: PRIMARYPK를 통해 자동으로 생성된 인덱스. 즉, 클러스터 인덱스.Non_unique: 0 (False)!!UNIQUE = UNIQUE. 즉, 중복 허용 X.Column_name: col1CREATE TABLE tmp (
code CHAR(5),
name VARCHAR(50),
age INT,
status CHAR(1)
);
INSERT INTO tmp (code, name, age, status) VALUES
('A0005', 'Kim', 25, 'Y'),
('A0003', 'Lee', 30, 'Y'),
('A0004', 'Park', 28, 'N'),
('A0002', 'Choi', 35, 'Y'),
('A0001', 'Jung', 22, 'N');

↑ 위 상황에서 code 열을 PK로 지정해서 클러스터 인덱스를 생성.ALTER TABLE tmp ADD CONSTRAINT
PRIMARY KEY (code);

↑ 위 처럼 PK로 지정된 열, 즉 클러스터 인덱스가 생성된 컬럼이 자동으로 정렬되었음. DROP TABLE IF EXISTS tmp;
CREATE TABLE tmp (
col1 INT PRIMARY KEY,
col2 INT UNIQUE,
col3 INT UNIQUE
);
SHOW INDEX FROM tmp;
SHOW INDEX: 인덱스 정보 확인.
고유 키(UK) 또한 인덱스가 자동으로 생성됨.보조 인덱스.Key_name: col2, col3Key_name에 컬럼명이 써 있으면 보조 인덱스Non_unique: 0 (False)!!UNIQUE = UNIQUE. 즉, 중복 허용 X.CREATE TABLE tmp (
code CHAR(5),
name VARCHAR(50),
age INT,
status CHAR(1)
);
INSERT INTO tmp (code, name, age, status) VALUES
('A0005', 'Kim', 25, 'Y'),
('A0003', 'Lee', 30, 'Y'),
('A0004', 'Park', 28, 'N'),
('A0002', 'Choi', 35, 'Y'),
('A0001', 'Jung', 22, 'N');

↑ 위 상황에서 code 열을 UK로 지정해서 보조 인덱스를 생성.ALTER TABLE tmp ADD CONSTRAINT
UNIQUE KEY (code);

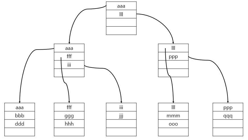
↑ 위 처럼 UK로 지정된 열, 즉 보조 인덱스가 생성된 컬럼은 자동으로 정렬되지않음.클러스터 인덱스, 보조 인덱스 둘 다 내부적으로 균형 트리(B-tree)로 만들어짐.균형 트리(B-tree)에서 데이터 탐색은 항상 루트 노드에서부터 시작함.잎을 노드라고 부르는데 MySQL에는 이를 페이지(page)라고 부름.페이지(page)는 최소한의 저장 단위로, 16Kbyte(16384byte)크기를 가짐.
↑ 트리 구조를 이루지 못하고 위 같은 상황에서 hhh까지 도달하려면3개 페이지의 데이터를 전부 조회해야 됨.전체 테이블 검색(Full Table Scan)이라고 함.
↑ 이처럼 B-tree 구조를 일 경우 hhh까지 도달하려면2개의 페이지만 조회하면 됨.1-2 인덱스의 장단점에서 쓰기(INSERT, UPDATE, DELETE)작업이 자주 발생하면 오히려 성능이 저하됨.라고 말했는데 그 이유가 페이지 분할이라는 작업이 발생하기 때문임.페이지 분할이란? 새로운 페이지를 생성해서 데이터를 나누는 작업임.
↑ 위 이미지에서 1개의 데이터를 INSERT하면 빈칸을 채워넣으면 되지만 복수 개의 데이터를 추가로 INSERT하다면?
↑ 기존 구조에서 iii, ggg 2개의 데이터가 INSERT 됐을 경우.페이지 분할이 1회 발생하였음.
↑ ooo, ppp 데이터가 추가로 INSERT 됐을 경우.인덱스를 구성하면 왜 쓰기작업(INSERT, UPDATE, DELETE), 특히 INSERT 작업이 느려지는 지 알 수 있음.PK 지정시 클러스터 인덱스, UK 지정시 보조 인덱스가 자동 생성됨.PK 또는 UK 지정해서 자동으로 생성된 인덱스는 DROP INDEX로 제거하지 못함.ALTER TABLE문을 사용해서 PK, UK를 제거하면 자동으로 생성된 인덱스를 제거할 수 있음.클러스터 인덱스와 보조 인덱스 둘 다 있을 경우보조 인덱스를 먼저 제거하는 게 좋음.CREATE INDEX 문.CREATE INDEX를 사용해서 만든 인덱스는 보조 인덱스임.DROP INDEX 문.CREATE INDEX를 사용해서 만든 인덱스를 제거할 수 있음.CREATE [UNIQUE] INDEX 인덱스_이름
ON 테이블_이름 (열_이름) [ASC | DESC]
DROP INDEX 인덱스_이름 ON 테이블_이름
CREATE [UNIQUE] INDEX는 고유 보조 인덱스 (Unique Secondary Index)를 생성할 수 있는데고유 인덱스 생성 후 입력되는 데이터와는 중복될 수 없음.인덱스 사용여부는 Execution Plan창을 확인. (MySQL Workbench 기준)
인덱스를 사용하려면 인덱스가 생성된 컬럼명이 SQL 문에 있어야함.
SELECT에 사용 됐다고 인덱스를 사용하진 않음.WHERE절에 인덱스가 생성된 컬럼명을 사용하면 인덱스를 사용하여 조회함.WHERE절에 인덱스가 생성된 컬럼명에 연산을 할 경우 인덱스를 사용하지 않음.인덱스가 있더라도 MySQL이 인덱스를 사용해서 조회하는 것보다 전체 테이블 검색(Full Table Scan)이 낫다고 판단할 시 Full Table Scan을 통해 조회함.
CREATE TABLE tmp (
code CHAR(5),
name VARCHAR(50),
age INT,
status CHAR(1)
);
ALTER TABLE tmp ADD CONSTRAINT
PRIMARY KEY (age);
SELECT * FROM tmp;

SELECT age FROM tmp;

SELECT age FROM tmp
WHERE age = 22;

SELECT age FROM tmp
WHERE age > 25;

SELECT age FROM tmp
WHERE age*2 > 25;

WHERE 절에 인덱스가 생성된 컬럼명에 연산을 할 경우 인덱스를 사용하지 않음.SELECT age FROM tmp
WHERE age >= 15*2;

WHERE 절에 연산이 사용되었지만 인덱스가 생성된 컬럼명에 사용한 것이 아니므로 인덱스가 사용되었음.
- 인덱스는 컬럼 단위로 생성됨.
일반적으로 1개의 열에 1개의 인덱스를 사용함.
- WHERE 절에 사용되는 열에 인덱스를 만들어야함.
WHERE 절의 조건에 인덱스가 생성된 컬럼이 나와야 인덱스를 사용함.
- WHERE 절에 사용되더라도 자주 사용해야 가치가 있음.
Ex) 인덱스를 사용해서 SELECT 성능이 향상 됐다 하더라도SELECT 문을 1년에 1, 2회 정도만 사용하고 그 외에는 전부 INSERT일 경우 오히려 인덱스로 인해 성능이 나빠지는 결과로 이어짐.
- 데이터의 중복이 높은 열은 인덱스를 만들어도 별 효과가 없음.
컬럼에 들어가는 데이터의 종류가 몇 가지 되지 않는다면 인덱스가 별 효과를 내지 못함.
Ex) 성별(F/M)이나 대중교통 수단 등 종류가 제한된 것에는 인덱스를 만들어도 큰 효과가 없음.
- 클러스터 인덱스는 테이블당 1개만 생성할 수 있음.
클러스터 인덱스(PK 지정)는 페이지(page)를 읽는 수가 보조 인덱스보다 적기 때문에 성능이 더 좋음.SELECT할 때 가장 많이 사용되는 컬럼에 지정하는 것이 효과적임.
- 사용하지 않는 인덱스는 제거함.
WHERE절 조건에 사용되지 않는 열의 인덱스는 제거할 필요가 있음.DB 공간을 확보할 수 있음 & 데이터 입력시 발생되는 부하도 많이 줄일 수 있음.