TIL
자료의 정리
- 벡터의 직교분해
- SVD, PCA
- 벡터공간과 최소제곱법
- 통계학, 기본개념
투영(projection)
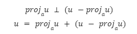
projection 되어있는 벡터와 complement 벡터는 서로 90도, 즉 직교를 이룬다.
두 벡터 u, a가 있을 때, 투영과 보완의 개념을 이용해 직교분할 할 수 있다.

QR분해 v.s. LU분해
LU 분해의 경우, 선형시스템을 풀 때 병렬처리 할 수 없다.
QR 분해의 경우, Q 행렬이 꽉찬 구조를 가진 행렬이므로 메모리 사용량이 많다.
........😊