

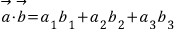
내적이란 두 벡터의 같은 성분끼리의 곱의 합으로, 두 벡터의 곱과 유사하다.
예를 들어 vecotr A(x1, y1)와, vector B(x2, y2)가 있을 때,
두 벡터의 내적인 A · B 는 (x1*x2) + (y1*y2)가 된다.
즉 벡터의 내적은 스칼라값이다.
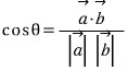
이 값은, 한 벡터의 방향으로 다른 벡터를 projection투영 시킨 후 곱한 값이다.

두 벡터의 내적 값은, 두 벡터의 크기와 두 벡터 사이의 각을 곱한 값과 같다.
|a| 는 vector A의 크기이고 θ는 두 벡터가 이루는 각이다.

따라서 두 벡터 사이의 cosθ는 위와 같은 정리를 만족한다.

따라서 벡터의 내적을 활용해 두 벡터가 이루는 각을 구할 수 있다.
❕두 벡터 사이의 값이 180도가 넘눈다면, 외적 등을 활용해 추가적인 연산을 해야함
❕두 벡터 사이의 값은 arctan으로도 구할 수 있음
❕ 응용문제: https://rangsub.tistory.com/15


두 벡터의 내적 값으로 두 벡터의 유사도(진행방향 사이의 관계)를 판단할 수 있다.
cos의 그래프를 떠올리면 쉽게 연상 가능하다.

두 벡터의 내적은 개념적으로 한 벡터의 방향으로 다른 벡터를 투영시켜 곱한다.
즉, 어떤 vector V를 단위벡터 N에 내적한다면, V의 N의 방향으로의 길이를 구할 수 있다.
두 벡터 사이의 각도를 구하려면 arccos 함수를 사용해야 하는데,
삼각함수를 남발하면 프로그램의 성능이 하락할 수 있으므로
몇 번의 곱셈과 덧셈으로 끝나는 내적을 사용하는 것이 이득이다.
References
[1] 내적의 정의 : https://m.blog.naver.com/mindo1103/90103350914
[2] 두 벡터의 사이각 구하기 : https://asteriskhun.tistory.com/40
[3] 벡터의 내적 응용문제 : https://rangsub.tistory.com/15
[4] 반사벡터 구하기 : https://novemberfirst.tistory.com/112