ADP·Na2

huarensh·2025년 1월 10일

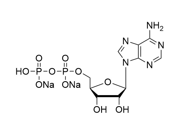
ADP·Na2
CAS NO. 16178 48 6
Adenosine 5 Diphosphate Disodium Salt
ADP·Na2 is a kind of scientific research reagent, widely used in molecular biology, pharmacology and other scientific research, is strictly prohibited for human body. Adenosine 5'-diphosphate (ADP) is an adenine nucleotide that is converted to ATP by ATP synthetase and is involved in energy storage and nucleic acid metabolism. ADP affects platelet activation by interacting with ADP receptors P2Y1, P2Y12, and P2X1. When it is catalyzed to adenosine by ecto-ADP enzyme, platelet activation is inhibited by adenosine receptors. Huaren is able to provide products for laboratory-scale production and scalable production. Huaren is able to provide products for laboratory-scale production and scalable production.

Technical Data of ADP·Na2

Product CAS NO. Product Code Molecular Formula Molecular Weight Purity Appearance Storage Conditions Water Concentration PH
ADP·Na2 16178-48-6 HR-00303018 C10H13N5Na2O10P2 471.166 ≥97% White powder -20℃ ≤10% / /

We can provide kinds of pharmaceutical intermediates for sale. If you are interested, please contact us.

profile
Wuhu Huaren Science and Technology Co., Ltd. was founded in Aug, 2006. https://www.huarensh.com/

0개의 댓글