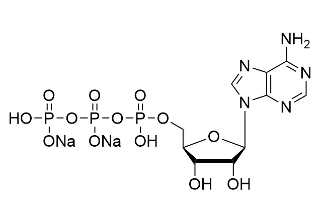
ATP·Na2, 200mM Solution

huarensh·2025년 1월 10일

ATP·Na2, 200mM Solution
CAS 987 65 5

Adenosine 5 Triphosphate , Disodium Salt, 200mM Solution
Nucleoside triphosphate is a molecule that contains a nitrogen group that binds to a 5-carbon sugar, and three phosphate groups that bind to the sugar.

(1) They are the building blocks of DNA and RNA.

(2) They are nucleotide chains produced by the process of DNA replication and transcription.

(3) Nucleoside triphosphate also acts as an energy source for cell reactions and participates in signal transduction pathways.

(4) Nucleoside triphosphate is not well absorbed, so they are usually synthesized in cells.

(5) The synthesis pathway depends on the nucleoside triphosphate being prepared, but given the many important roles of nucleoside triphosphate, synthesis is strictly regulated in all cases.

(6) Nucleoside analogues can also be used to treat viral infections. Huaren is able to provide products for laboratory-scale production and scalable production. Huaren is able to provide products for laboratory-scale production and scalable production.

Technical Data of ATP·Na2, 200mM Solution
Product CAS NO Product Code Molecular Formula Molecular Weight Purity Appearance Storage Conditions Water Concentration PH
ATP·Na2, 200mM Solution 987-65-5 HR-00301014 C10H14N5Na2O13P3 551.145 ≥99% Clear colorless Solution -20℃ \ 100mM±3 7.4±0.1

The Application of Huaren's ATP·Na2, 200mM Solution (CAS NO. 987-65-5)
Cellular Energy Studies: ATP·Na2 from Huaren is fundamental in studying cellular energy metabolism, providing a direct source of ATP for various cellular processes.

Enzyme Assays: Our ATP·Na2 is widely used as a substrate in kinase assays and other ATP-dependent enzymatic reactions, facilitating the study of enzyme kinetics and functions.

Signal Transduction Research: the ATP·Na2 is essential for investigating ATP's role in signal transduction pathways, including those involving G-proteins and other signaling molecules.

Molecular Biology Protocols: Utilized in protocols such as in vitro transcription and translation, ensuring efficient and accurate synthesis of nucleic acids and proteins.

Advantages of Choosing Huaren's ATP·Na2, 200mM Solution (CAS NO. 987-65-5)
High Purity: As a type of Nucleoside Triphosphate, ATP·Na2 from Huaren ensures minimal contaminants, providing reliable and reproducible results in biochemical and cellular assays.

Stability: The 200mM concentration offers enhanced stability, making it suitable for long-term storage and consistent performance in experiments.

Wide Application: Our ATP·Na2 is ideal for a wide range of applications, including enzyme assays, cellular energy studies, and signal transduction research.

Convenience: Ready-to-use solution simplifies experimental setup, saving time and reducing preparation errors.

Quality Assurance: As professional Nucleotide manufacturers, Huaren's ATP·Na2 is manufactured under stringent quality control standards, ensuring batch-to-batch consistency and high performance.

As one of pharmaceutical intermediates manufacturers, we will do our best to meet all the needs of customers.

profile
Wuhu Huaren Science and Technology Co., Ltd. was founded in Aug, 2006. https://www.huarensh.com/

0개의 댓글