
금일 알고리즘 스터디에서 다룬 차수의 개념을 바탕으로
그래프 이론의 기초적인 내용을 정리했습니다.
그래프는 정점과 간선의 집합으로 이루어진 구조입니다.
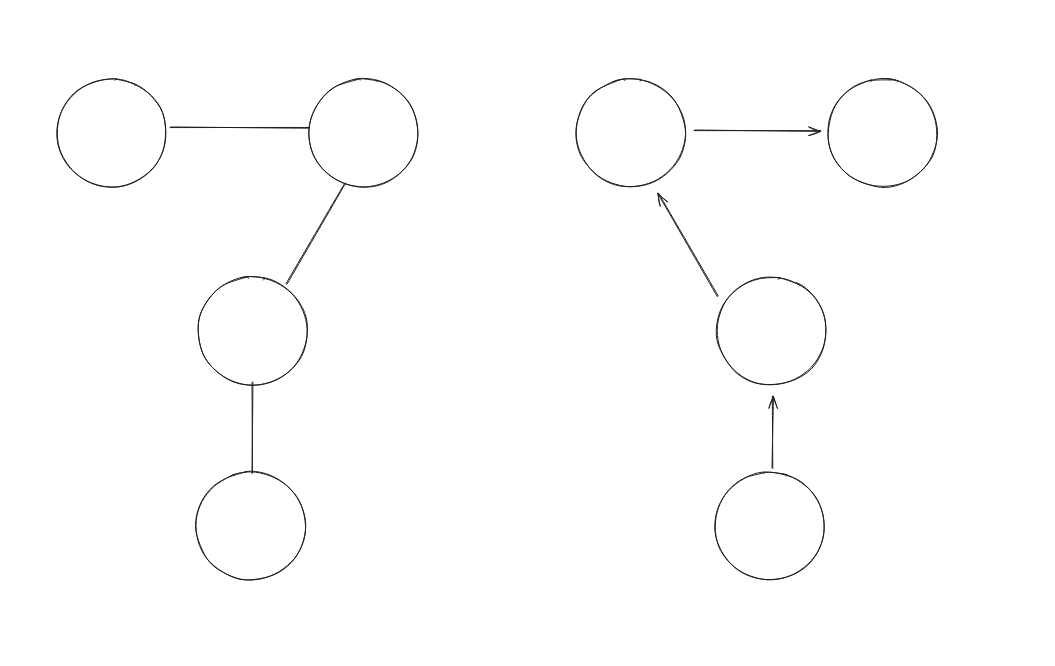
아래와같이 동그라미는 정점이고, 각 정점 간의 연결을 간선이라고 합니다

각 정점에 연결되어 있는 간선의 개수를 차수라고 합니다

차수는 간선의 방향에 따라 indegree, outdegree로 나뉩니다
그래프는 다음 3가지 기준으로 구분합니다.

간선에 방향이 있는지 없는지 두가지로 구분할 수 있습니다
왼쪽은 무방향 그래프, 오른쪽은 방향 그래프입니다
무방향 그래프는 구현할 때 보통 양방향으로 간주합니다

가중치의 유무에 따라 그래프를 구분할 수 있습니다
여기서 가중치는 간선의 이동비용입니다
왼쪽은 가중치가 없는 그래프, 오른쪽은 가중치가 있는 그래프입니다

정점의 종류에 따라서도 구분할 수 있습니다
이종 그래프는 른 종류의 정점 간에만 간선이 연결됩니다