동작과BR
- 출발 노드를 설정
- 최단 거리 테이블 초기화
- 방문하지 않은 노드 중에서 최단 거리(가중치)가 가장 짧은 노드 선택
- 해당 노드를 거쳐 다른 노드로 가는 비용 계산하여 최단 거리 테이블 갱신
- 3, 4번 반복

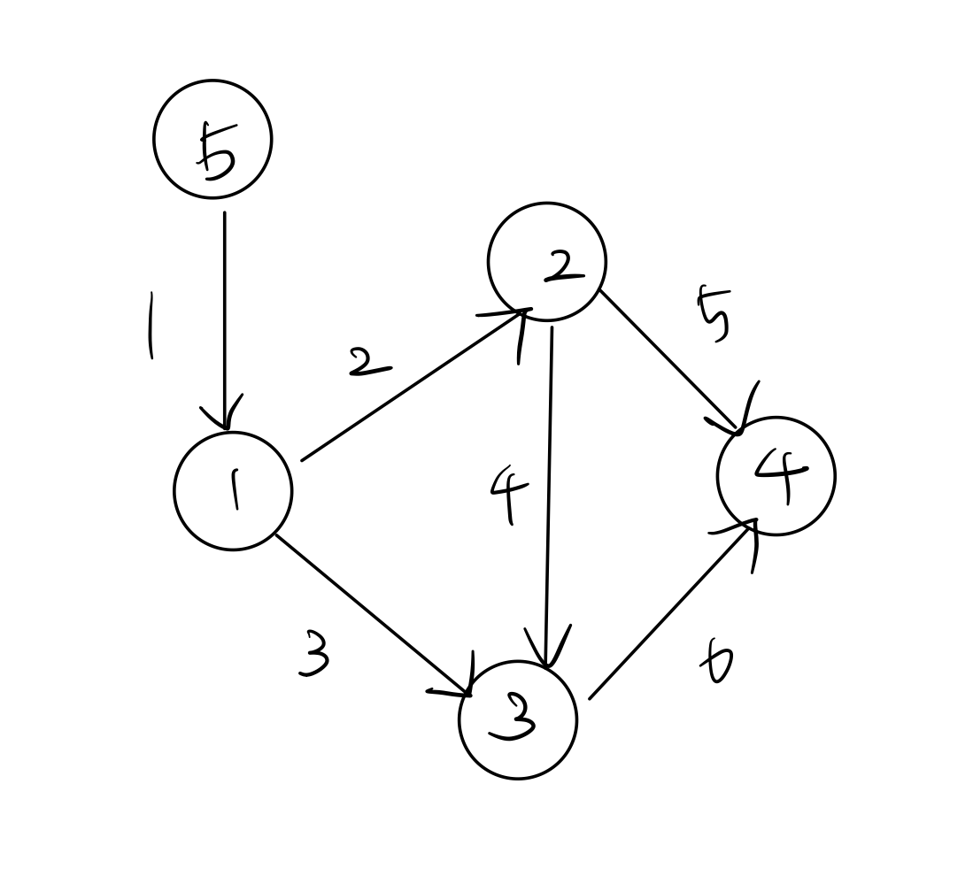
출발 지점의 노드가 1이므로 우선순위 큐에 넣기, 출발 노드에서 출발 노드로의 거리는 0이므로 0으로 초기화
| 노드 번호 | 1 | 2 | 3 | 4 | 5 |
|---|---|---|---|---|---|
| 가중치 | 0 | MAXVALUE | MAXVALUE | MAXVALUE | MAXVALUE |
우선순위 큐 : (거리: 0, 노드: 1)
큐에서 노드 꺼내기 -> 해당 노드를 이미 처리했으면 무시하고 처리하지 않은 노드는 최소 비용 계산 => 2번(0 + 2), 3번(0 + 3)
꺼낸 원소 : (거리: 0, 노드: 1)
| 노드 번호 | 1 | 2 | 3 | 4 | 5 |
|---|---|---|---|---|---|
| 가중치 | 0 | 2 | 3 | MAXVALUE | MAXVALUE |
우선순위 큐 : (거리: 2, 노드: 2), (거리: 3, 노드: 3)
과정 반복 => 3번(2 + 4)은 기존 거리 3보다 크므로 넘어감, 4번(2 + 5)
꺼낸 원소 : (거리: 2, 노드: 2)
| 노드 번호 | 1 | 2 | 3 | 4 | 5 |
|---|---|---|---|---|---|
| 가중치 | 0 | 2 | 3 | 7 | MAXVALUE |
우선순위 큐 : (거리: 3, 노드: 3), (거리: 7, 노드: 4)
4번(3 + 6)으로 기존 거리 7보다 커서 넘어감
꺼낸 원소 : (거리: 3, 노드: 3)
| 노드 번호 | 1 | 2 | 3 | 4 | 5 |
|---|---|---|---|---|---|
| 가중치 | 0 | 2 | 3 | 7 | MAXVALUE |
우선순위 큐 : (거리: 7, 노드: 4)
해당 노드에서 가는 길이 없어서 큐가 비어서 종료
꺼낸 원소 : (거리: 7, 노드: 4)
| 노드 번호 | 1 | 2 | 3 | 4 | 5 |
|---|---|---|---|---|---|
| 가중치 | 0 | 2 | 3 | 7 | MAXVALUE |
우선순위 큐 :
import java.io.BufferedReader;
import java.io.IOException;
import java.io.InputStreamReader;
import java.util.ArrayList;
import java.util.PriorityQueue;
import java.util.StringTokenizer;
public class Main {
static class Node{
int v; // 간선
int cost; // 가중치
public Node(int v, int cost){
this.v = v;
this.cost = cost;
}
}
static ArrayList<Node>[] graph; // 노드 정보 담는 리스트
static boolean[] visited; // 방문 처리
static int[] dist; // 최단 거리 테이블
public static void main(String[] args) throws IOException {
BufferedReader br = new BufferedReader(new InputStreamReader(System.in));
StringTokenizer st = new StringTokenizer(br.readLine());
int v = Integer.parseInt(st.nextToken());
int e = Integer.parseInt(st.nextToken());
int s = Integer.parseInt(br.readLine());
graph = new ArrayList[v + 1];
visited = new boolean[v + 1];
dist = new int[v + 1];
// 그래프와 최단 거리 테이블 초기화
for(int i = 1; i<=v; i++){
graph[i] = new ArrayList<>();
dist[i] = Integer.MAX_VALUE;
}
for(int i = 0; i<e; i++){
// u -> v로 가는 가중치 w
st = new StringTokenizer(br.readLine());
int U = Integer.parseInt(st.nextToken());
int V = Integer.parseInt(st.nextToken());
int W = Integer.parseInt(st.nextToken());
graph[U].add(new Node(V, W));
}
// 다익스트라 수행
dijkstra(s);
for(int i = 1; i<=v; i++){
System.out.println((dist[i] == Integer.MAX_VALUE ? "INF" : dist[i]));
}
}
static void dijkstra(int start){
// 우선순위 큐 사용 - 가중치 기준으로 오름차순
PriorityQueue<Node> queue = new PriorityQueue<>((a, b) -> a.cost - b.cost);
queue.add(new Node(start, 0));
dist[start] = 0;
while(!queue.isEmpty()){
// 최단 거리가 짧은 노드 꺼내기
Node curr = queue.poll();
int currV = curr.v;
// 이미 방문한 노드는 무시
if (!visited[currV]) {
visited[currV] = true;
for(Node n : graph[currV]){
int v = n.v;
int cost = n.cost;
// 현재 노드 거리 + 확인하는 노드 거리가 최단 거리일 경우 업데이트
if (!visited[v] && dist[currV] + cost < dist[v]){
dist[v] = dist[currV] + cost;
queue.add(new Node(v, dist[v]));
}
}
}
}
}
}