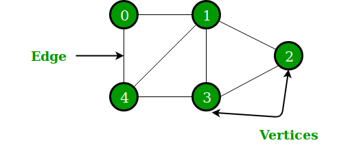
여러 대상을 연결하여 표현한 네트워크 구조를 그래프라고 표현을 한다. 즉, 네트워크 구조를 의미한다.
그래프는 정점(vertex)과 변(edge)으로 이루어진다.
정점은 대상을 나타내고, 변은 대상들의 관계를 나타낸다.



위 처럼 변에 가중치가 있는 그래프를 가중 그래프라고 한다.

직접적으로 변으로 연결된 정점끼리 같은 색이 되지 않게 두 가지 색상으로 나눠 칠할 수 있는 그래프를 이분 그래프라고 한다.
추가적으로 n가지 색으로 칠할 수 있는 그래프를 "n-채색 가능한 그래프"라고 한다.

모든 변이 교차하지 않게 그릴 수 있는 그래프를 평면적 그래프라고 부른다.

모든 변이 실제로 교차하지 않게 그린 그래프를 평면 그래프라고 한다.
참고로 평면 그래프는 '변의 수가 정점 수의 3배보다 작고','4가지 색만으로 이웃한 정점이 같은 색이 되지 않게 칠할 수 있다(4색 정리)' 이러한 특징이 있다.

모든 정점에 대하여 경로가 존재하는 그래프를 연결 그래프, 모든 정점에 대하여 경로가 없는 경우 비연결 그래프라고 한다.


어느 한 정점에서 출발하고, 모든 변을 지나, 원래의 정점으로 돌아올 수 있는 경로가 존재하는 그래프를 "오일러 그래프"라고 부른다.
증명이 다소 복잡하지만, 연결된 무향 그래프가 오일러 그래프라면 해당 그래프는 "각 정점에 연결된 변의 수가 짝수이다." 라는 특징이 존재한다.

연결된 무향 그래프 중 같은 정점을 두 번 지나지 않고 원래 정점으로 돌아가는 경로가 없는 그래프를 트리라고 부른다.
트리 구조의 특징으로는 변의 수가 정점의 수 보다 1개만큼 적다. 또한 사이클이 없는 그래프다.(어떤 노드도 자기 자신으로 돌아오는 경로가 없다.)
그래프를 구현하는 방법으로 특정한 노드와 인접한 노드를 리스트로 정리하는 '인접 리스트'로 표현하는 방버이 있다.

인접 리스트 표현은 (정점의 수) + (변의 수)와 비례하는 만큼의 메모리 용량만 사용한다. 따라서 변의 수가 수백만 개라고 해도, 소비하는 메모리는 정도가 된다.
class Code_4_05_1 {
public static void main(String[] args) {
// 입력
Scanner sc = new Scanner(System.in);
int N = sc.nextInt();
int M = sc.nextInt();
int[] A = new int[M + 1];
int[] B = new int[M + 1];
for (int i = 1; i <= M; i++) {
A[i] = sc.nextInt();
B[i] = sc.nextInt();
}
// 인접리스트 작성
ArrayList<Integer>[] G = new ArrayList[N + 1];
for (int i = 1; i <= N; i++) {
G[i] = new ArrayList<Integer>(); // G[i]는 정점i와 인접한 정점 리스트
}
for (int i = 1; i <= M; i++) {
G[A[i]].add(B[i]); // 정점 A[i]와 인접한 정점으로 B[i]를 추가
G[B[i]].add(A[i]); // 정점 B[i]와 인접한 정점으로 A[i]를 추가
}
// 출력(G[i].size()는 정점 i에 인접한 정점 리스트의 크기이므로 "차수"입니다).
for (int i = 1; i <= N; i++) {
System.out.format("%d: {", i);
for (int j = 0; j < G[i].size(); j++) {
if (j >= 1) {
System.out.print(",");
}
System.out.print(G[i].get(j)); // G[i].get(j)는 정점i와 인접한 정점 중에서 j번째 정점
}
System.out.println("}");
}
}
}
이동할 수 있는 만큼 이동한 후, 더 이상 이동할 수 없는 정점에 도달했을 때 이전 정점으로 돌아와서 다른 길로 다시 이동하는 알고리즘
동작 과정

깊이 우선 탐색을 구현하는 대표적인 방법으로는 배열 또는스택을 사용하는 방법과 다음으로는 재귀 함수를 이용하여 구현하는 방법이 있다.
아래는 재귀 함수를 이용한 코드이다.
class 구현1 {
public static void main(String[] args) throws IOException {
// 입력(빠른 입출력을 위해서, Scanner 대신에 BufferedReader를 사용했습니다)
BufferedReader buff = new BufferedReader(new InputStreamReader(System.in));
StringTokenizer st;
st = new StringTokenizer(buff.readLine());
int N = Integer.parseInt(st.nextToken());
int M = Integer.parseInt(st.nextToken());
int[] A = new int[M + 1];
int[] B = new int[M + 1];
for (int i = 1; i <= M; i++) {
st = new StringTokenizer(buff.readLine());
A[i] = Integer.parseInt(st.nextToken());
B[i] = Integer.parseInt(st.nextToken());
}
// 인접리스트 작성
G = new ArrayList[N + 1];
for (int i = 1; i <= N; i++) {
G[i] = new ArrayList<Integer>();
}
for (int i = 1; i <= M; i++) {
G[A[i]].add(B[i]);
G[B[i]].add(A[i]);
}
// 깊이 우선 탐색
visited = new boolean[N + 1];
for (int i = 1; i <= N; i++) {
visited[i] = false;
}
dfs(1);
// 연결 판정(answer = true일 때 연결)
boolean answer = true;
for (int i = 1; i <= N; i++) {
if (visited[i] == false) {
answer = false;
}
}
if (answer == true) {
System.out.println("The graph is connected.");
}
else {
System.out.println("The graph is not connected.");
}
}
static boolean[] visited;
static ArrayList<Integer>[] G;
static void dfs(int pos) {
visited[pos] = true;
for (int i : G[pos]) {
if (visited[i] == false) {
dfs(i);
}
}
}
}
다음으로 스택을 이용하여 구현한 코드이다.
class 구현2 {
public static void main(String[] args) throws IOException {
// 입력(빠른 입출력을 위해서, Scanner 대신에 BufferedReader를 사용했습니다)
BufferedReader buff = new BufferedReader(new InputStreamReader(System.in));
StringTokenizer st;
st = new StringTokenizer(buff.readLine());
int N = Integer.parseInt(st.nextToken());
int M = Integer.parseInt(st.nextToken());
int[] A = new int[M + 1];
int[] B = new int[M + 1];
for (int i = 1; i <= M; i++) {
st = new StringTokenizer(buff.readLine());
A[i] = Integer.parseInt(st.nextToken());
B[i] = Integer.parseInt(st.nextToken());
}
// 인접리스트 작성
ArrayList<Integer>[] G = new ArrayList[N + 1];
for (int i = 1; i <= N; i++) {
G[i] = new ArrayList<Integer>();
}
for (int i = 1; i <= M; i++) {
G[A[i]].add(B[i]);
G[B[i]].add(A[i]);
}
// 깊이 우선 탐색 초기화
boolean[] visited = new boolean[N + 1];
for (int i = 1; i <= N; i++) {
visited[i] = false;
}
Stack<Integer> S = new Stack<>(); // 스택 S 정의
visited[1] = true;
S.push(1); // S에 1을 추가
// 깊이 우선 탐색
while (S.size() >= 1) {
int pos = S.pop(); // S의 앞부분을 확인하고 꺼냄
for (int nex : G[pos]) {
if (visited[nex] == false) {
visited[nex] = true;
S.push(nex); // S에 nex를 추가
}
}
}
// 연결 판정(answer = true일 때 연결)
boolean answer = true;
for (int i = 1; i <= N; i++) {
if (visited[i] == false) {
answer = false;
}
}
if (answer == true) {
System.out.println("The graph is connected.");
}
else {
System.out.println("The graph is not connected.");
}
}
}
출발 지점과 가까운 정점부터 차례대로 확인한다.
너비 우선 탐색은 큐라는 자료 구조를 구현하는 경우가 많다.
Queue
큐는 이미지와 같이 3가지 동작을 하는 자료 구조이다.
- 큐의 가장 뒤에 요소를 추가를 한다.
- 큐의 가장 앞 요소를 확인한다.
- 큐의 가장 앞 요소를 제거한다.
이러한 Queue의 동작을 이용하여 너비 우선 탐색을 해결할 수 있다.

동작 과정
BFS 구현에 있어서 노드를 흰색이나 회색으로 표기가 불가능 하기 때문에 ``
class 구현3 {
public static void main(String[] args) throws IOException {
// 입력(빠른 입출력을 위해서, Scanner 대신에 BufferedReader를 사용했습니다)
BufferedReader buff = new BufferedReader(new InputStreamReader(System.in));
StringTokenizer st;
st = new StringTokenizer(buff.readLine());
int N = Integer.parseInt(st.nextToken());
int M = Integer.parseInt(st.nextToken());
int[] A = new int[M + 1];
int[] B = new int[M + 1];
for (int i = 1; i <= M; i++) {
st = new StringTokenizer(buff.readLine());
A[i] = Integer.parseInt(st.nextToken());
B[i] = Integer.parseInt(st.nextToken());
}
// 인접리스트 작성
ArrayList<Integer>[] G = new ArrayList[N + 1];
for (int i = 1; i <= N; i++) {
G[i] = new ArrayList<Integer>();
}
for (int i = 1; i <= M; i++) {
G[A[i]].add(B[i]);
G[B[i]].add(A[i]);
}
// 너비 우선 탐색 초기화(dist[i] = -1일 때 아직 도달하지 않은 흰색 정점으로 취급)
int[] dist = new int[N + 1];
for (int i = 1; i <= N; i++) {
dist[i] = -1;
}
Queue<Integer> Q = new LinkedList<>(); // 큐 Q 정의
dist[1] = 0;
Q.add(1); // Q에 1을 추가(조작1)
// 너비 우선 탐색
while (Q.size() >= 1) {
int pos = Q.remove(); // Q의 앞을 확인하고, 이를 꺼냄(조작2, 3)
for (int i = 0; i < G[pos].size(); i++) {
int nex = G[pos].get(i);
if (dist[nex] == -1) {
dist[nex] = dist[pos] + 1;
Q.add(nex); // Q에 nex를 추가(조작1)
}
}
}
// 정점1에서 각 정점까지의 최단 거리를 출력
for (int i = 1; i <= N; i++) {
System.out.println(dist[i]);
}
}
}
플로이드-워셜(Warshall-Floyd) 알고리즘을 사용하면 시간에 해결할 수 있다. 큐 등의 자료 구조들을 사용하지 않아도, 단순한 삼중 반복문으로도 구현이 가능한 특징이 있다.문제 해결을 위한 알고리즘 with 수학 서적의 내용을 참조하여 작성했다.