Given the head of a linked list, remove the nth node from the end of the list and return its head.

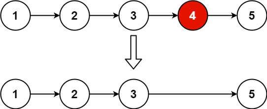
Input: head = [1,2,3,4,5], n = 2
Output: [1,2,3,5]
Input: head = [1], n = 1
Output: []
Input: head = [1,2], n = 1
Output: [1]
The number of nodes in the list is sz.
1 <= sz <= 30
0 <= Node.val <= 100
1 <= n <= sz
Could you do this in one pass?
/**
* Definition for singly-linked list.
* struct ListNode {
* int val;
* ListNode *next;
* ListNode() : val(0), next(nullptr) {}
* ListNode(int x) : val(x), next(nullptr) {}
* ListNode(int x, ListNode *next) : val(x), next(next) {}
* };
*/
class Solution {
public:
ListNode* removeNthFromEnd(ListNode* head, int n) {
ListNode* dummy = new ListNode(0);
dummy->next = head;
ListNode* prevNode = dummy;
ListNode* nextNode = dummy;
for (int i = 0; i <= n; ++i) {
prevNode = prevNode->next;
}
while (prevNode != nullptr) {
prevNode = prevNode->next;
nextNode = nextNode->next;
}
ListNode* temp = nextNode->next;
nextNode->next = nextNode->next->next;
delete temp;
return dummy->next;
}
};
[1] https://leetcode.com/problems/remove-nth-node-from-end-of-list/