
우리는 데이터로 다양한 모델을 사용할 수 있다. 그러나 데이터의 유형은 여러가지이고 데이터에 맞지 않은 모델을 사용한다면 그 결과는 당연히 좋은 결과를 도출해내지 못할 확률이 높다. 그렇기에 데이터에 맞는 모델은 무엇이며, 모델이 얼마나 좋은지에 대한 측정할 필요가 있다.

import numpy as np
def mae(y_true, predictions):
y_true, predictions = np.array(y_true), np.array(predictions)
return np.mean(np.abs(y_true - predictions)

def mape(y_test, pred):
y_test, pred = np.array(y_test), np.array(pred)
mape = np.mean(np.abs((y_test - pred) / y_test)) * 100
return mape

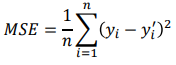
MSE
def mse(y_test, pred)
y_test, pred = np.array(y_test), np.array(pred)
mse = np.square(np.substract(y_test - pred)).mean()
return mse

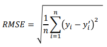
RMSE
import math
def RMSE(y_test, pred):
y_test, pred = np.array(y_test), np.array(pred)
rmse = math.sqrt(mse)
: Confusion Matrix 란 Training을 통한 Prediction 성능을 측정하기 위해 예측 value와 실제 value를 비교하기 위한 표 이다.

Accracy (정확도)
: 전체에서 모델이 바르게 분류한 비율

Precision (정밀도)
: 모델이 Positive(긍정)라 분류한 것 중 실제값이 Positive인 비율

Recall (재현율)
: 실제값이 Positive 인 것 중 모델이 Positive라 분류한 비율

F1 Score
: Precision과 Recall의 조화 평균

Accuracy가 아닌 F1 Score를 쓰는 경우는 데이터가 불균형할 때 이다.
일반적으로 분류(classification)문제에서는 특정 범주에 속할 확률 값을 생성한다.
동일한 확률 값에서도 threshold를 어떻게 설정하느냐에 따라 분류 성능이 다르다.
여러 분류 모델간의 정확한 비교를 위해서는 threshold에 영향을 받지 않는 지표가 필요하다.
Receiver-operatig Characteristic(ROC) Curve, Precision-Recall Curve 등


