Heap (힙) : 최솟값 또는 최댓값을 빠르게 찾아내기 위해 완전 이진 트리 형태로 만들어진 자료구조
간단하게 트리부터 알고 가자

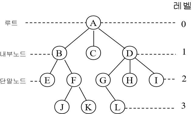
루트 노드 (root node) : 일명 뿌리 노드라고 하며 루트 노드는 하나의 트리에선 하나밖에 존재하지 않고, 부모노드가 없다. (이미지 상 A)
부모 노드(parent node) : 자기 자신(노드)과 연결 된 노드 중 자신보다 높은 노드를 의미 (ex. C의 부모노드 : A)
자식 노드(child node) : 자기 자신(노드)과 연결 된 노드 중 자신보다 낮은 노드를 의미 (ex. A의 자식노드 : C)
단말 노드(leaf node) : 리프 노드라고도 불리며 자식 노드가 없는 노드를 의미한다. (이미지에서 H, I, E, F, G)
내부 노드(internal node) : 단말 노드가 아닌 노드
형제 노드(sibling node) : 부모가 같은 노드를 말한다. (ex. F, G는 모두 부모노드가 C이므로 F, G는 형제노드다.)
깊이(depth) : 특정 노드에 도달하기 위해 거쳐가야 하는 '간선의 개수'를 의미 (ex. E의 깊이 : A→B→E 이므로 깊이는 2가 됨)
레벨(level) : 특정 깊이에 있는 노드들의 집합을 말하며, 구현하는 사람에 따라 0 또는 1부터 시작한다.
차수(degree) : 특정 노드가 하위(자식) 노드와 연결 된 개수 (ex. B의 차수 = 2 {D, E} )
부모 노드는 항상 자식 노드보다 우선순위가 높다.
모든 노드의 최대 차수를 2로 제한한 것이다.
위의 이미지는 한 부모 노드의 자식 노드는 2개씩 연결돼 최대 차수가 2인 이진 트리이다.
2가지 조건이 충족돼야 한다.
(포화 이진 트리 : 마지막 레벨을 제외한 모든 노드가 2개의 자식노드를 가져야 한다.)

- 최소 힙
- 최대 힙

빠른 삽입 및 삭제 : Heap은 특정한 순서에 따라 정렬된 상태를 유지한다.
삽입과 삭제 시간이 ( O(log n) )에 이뤄진다.
우선순위 기반 작업 처리 : Heap은 우선순위 큐와 같은 다른 추상 자료형을 구현하는데 사용된다.
임의 접근의 어려움 : Heap은 완전 이진 트리의 형태로, 배열 or 연결 리스트를 사용해 구현한다. 특정 요소를 찾는데에는 ( O(n) ) 시간이 걸린다.
정렬 유지의 오버헤드 : Heap은 정렬된 상태를 유지하기 위해 삽입과 삭제 연산 시에 정렬을 조정해야 한다. -> 오버헤드를 발생시킬 수 있다.
배열로 구현 시 추가적 공간 요구 : 배열 기반의 Heap은 공간을 미리 할당해야 하므로 요소의 개수에 따라 추가적인 공간을 필요로 한다.
이는 PriorityQueue로 만든 것과 같다.
import java.util.PriorityQueue;
import java.util.Queue;
public class QueueApplication {
public static void main(String[] args) {
Queue queue = new PriorityQueue();
queue.offer(500);
queue.offer(35);
queue.offer(77);
queue.offer(1);
System.out.println(queue);
// 최소값 확인
int minValue = minHeap.peek();
System.out.println("Min value: " + minValue); // Min value: 1
// 최소값 삭제
int deletedValue = minHeap.poll();
System.out.println("Deleted value: " + deletedValue); // Deleted value: 1
// 최소값 확인
minValue = minHeap.peek();
System.out.println("Min value: " + minValue); // Min value: 2
}
}
최대 Heap은 아래 링크에서 확인하는것이 좋다고 본다.