
Input: root = [1,2,3]
Output: 1
Explanation:
Tilt of node 2 : |0-0| = 0 (no children)
Tilt of node 3 : |0-0| = 0 (no children)
Tilt of node 1 : |2-3| = 1 (left subtree is just left child, so sum is 2; right subtree is just right child, so sum is 3)
Sum of every tilt : 0 + 0 + 1 = 1

Input: root = [4,2,9,3,5,null,7]
Output: 15
Explanation:
Tilt of node 3 : |0-0| = 0 (no children)
Tilt of node 5 : |0-0| = 0 (no children)
Tilt of node 7 : |0-0| = 0 (no children)
Tilt of node 2 : |3-5| = 2 (left subtree is just left child, so sum is 3; right subtree is just right child, so sum is 5)
Tilt of node 9 : |0-7| = 7 (no left child, so sum is 0; right subtree is just right child, so sum is 7)
Tilt of node 4 : |(3+5+2)-(9+7)| = |10-16| = 6 (left subtree values are 3, 5, and 2, which sums to 10; right subtree values are 9 and 7, which sums to 16)
Sum of every tilt : 0 + 0 + 0 + 2 + 7 + 6 = 15

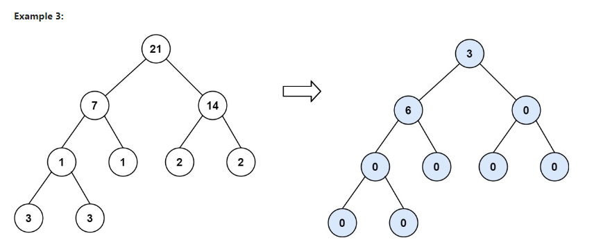
Input: root = [21,7,14,1,1,2,2,3,3]
Output: 9
1.정답 전역변수를 하나 두고 왼쪽, 오른쪽 하위트리를 탐색하며 합들을 구한 뒤, 왼쪽 오른쪽 노드들의 합 차이의 절대값을 정답 변수에 더해나간다.
2.왼쪽, 오른쪽 자식 노드들의 합 + 현재 노드의 val을 더한 값을 반환한다.
/**
* Definition for a binary tree node.
* function TreeNode(val, left, right) {
* this.val = (val===undefined ? 0 : val)
* this.left = (left===undefined ? null : left)
* this.right = (right===undefined ? null : right)
* }
*/
/**
* @param {TreeNode} root
* @return {number}
*/
var findTilt = function(root) {
let tilt = 0;
const helper = (node) => {
if(node === null) return 0; //현재 노드가 null 이면 0
const left = helper(node.left); //왼쪽 자식 노드
const right = helper(node.right); //오른쪽 자식 노드
const abs = Math.abs(left - right); // 두 자식 노드값의 절댓값 차
tilt += abs;
return left + right + node.val;
}
helper(root)
return tilt
};
