kite_day.log
로그인
kite_day.log
로그인
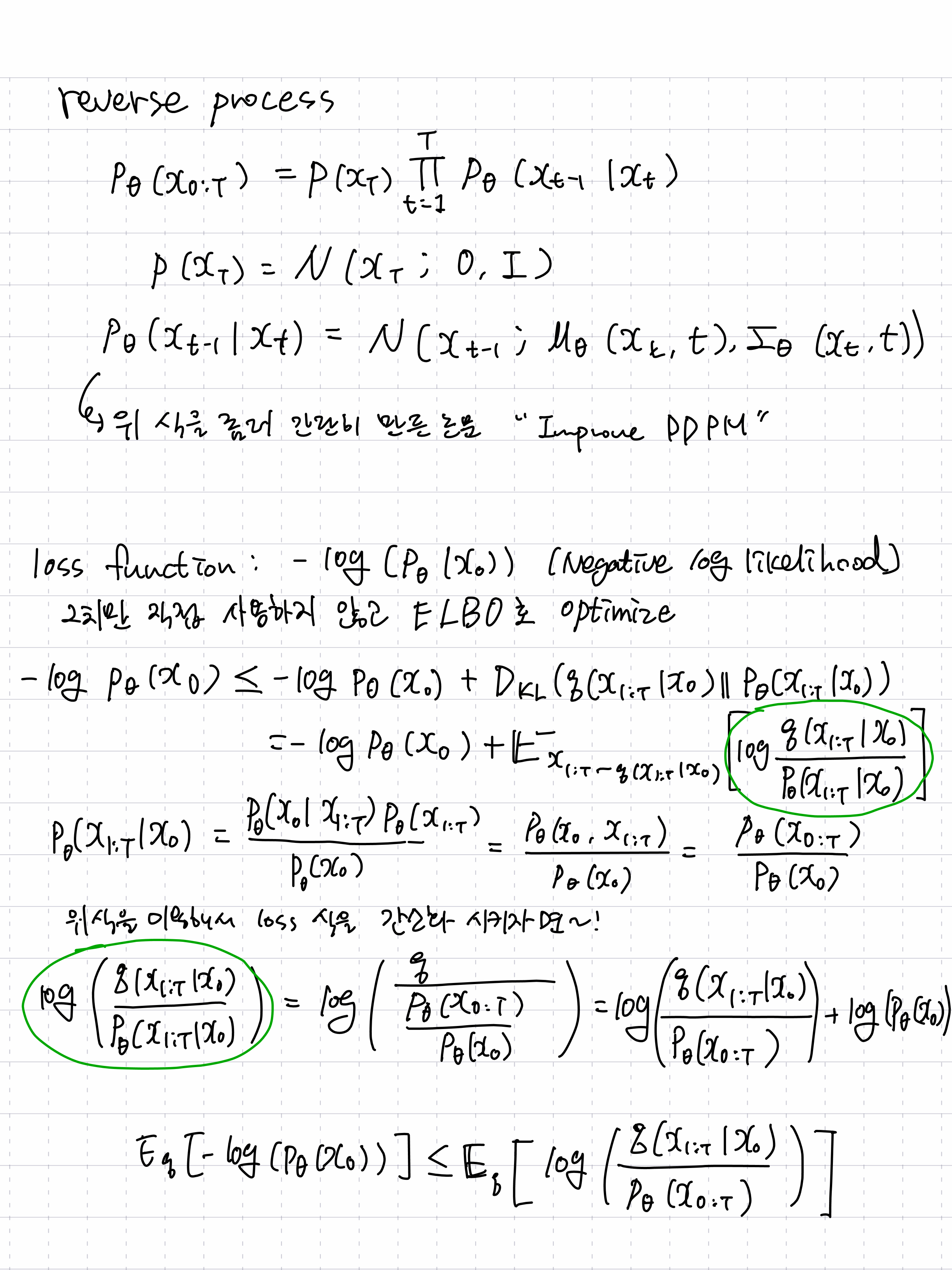
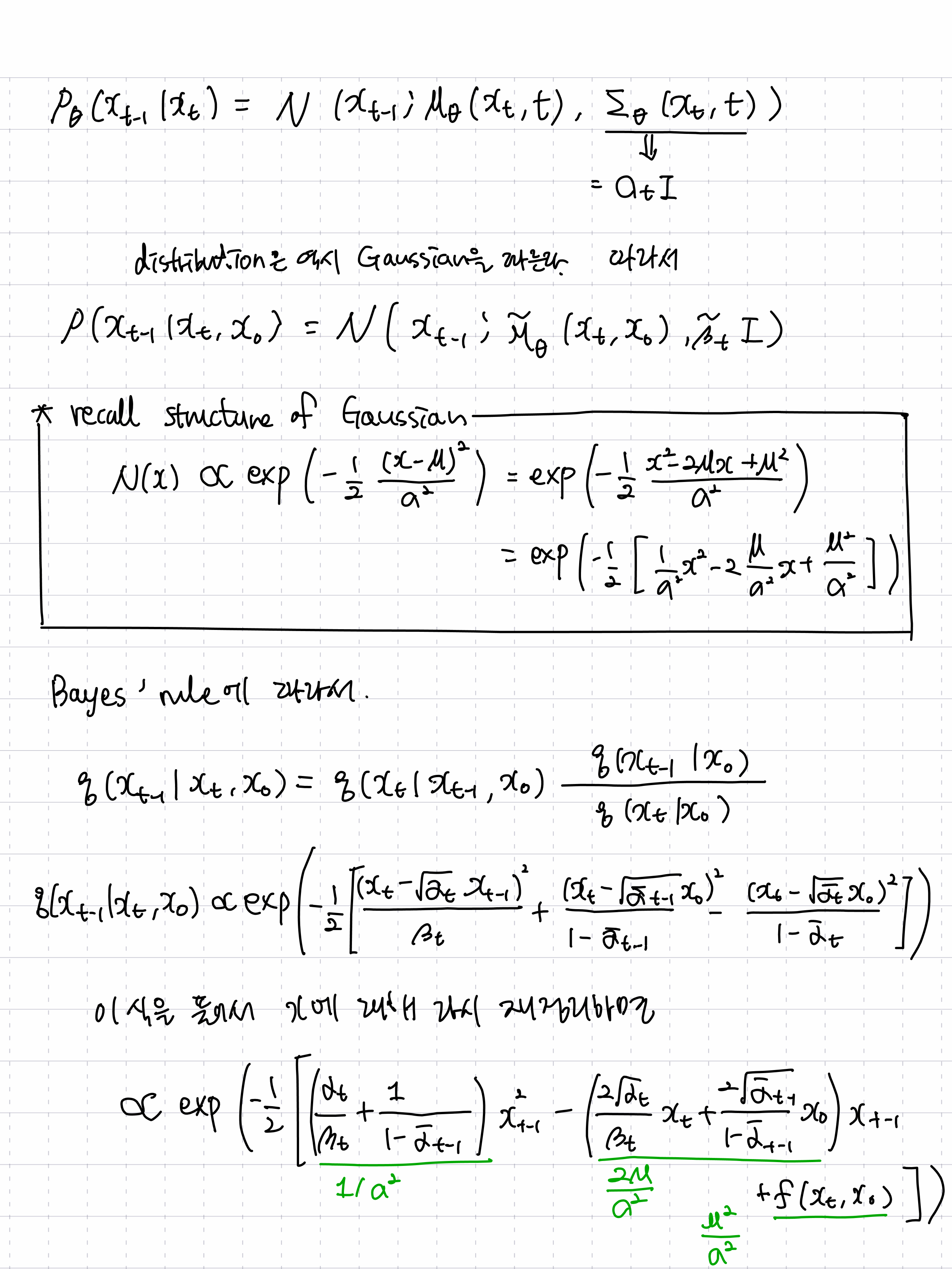
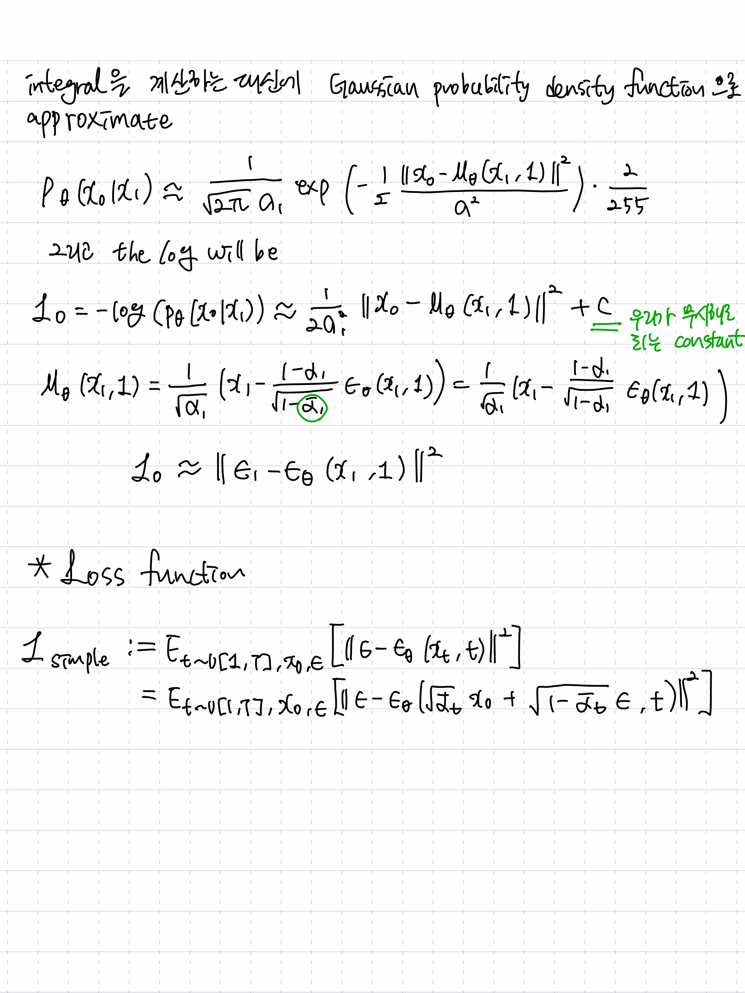
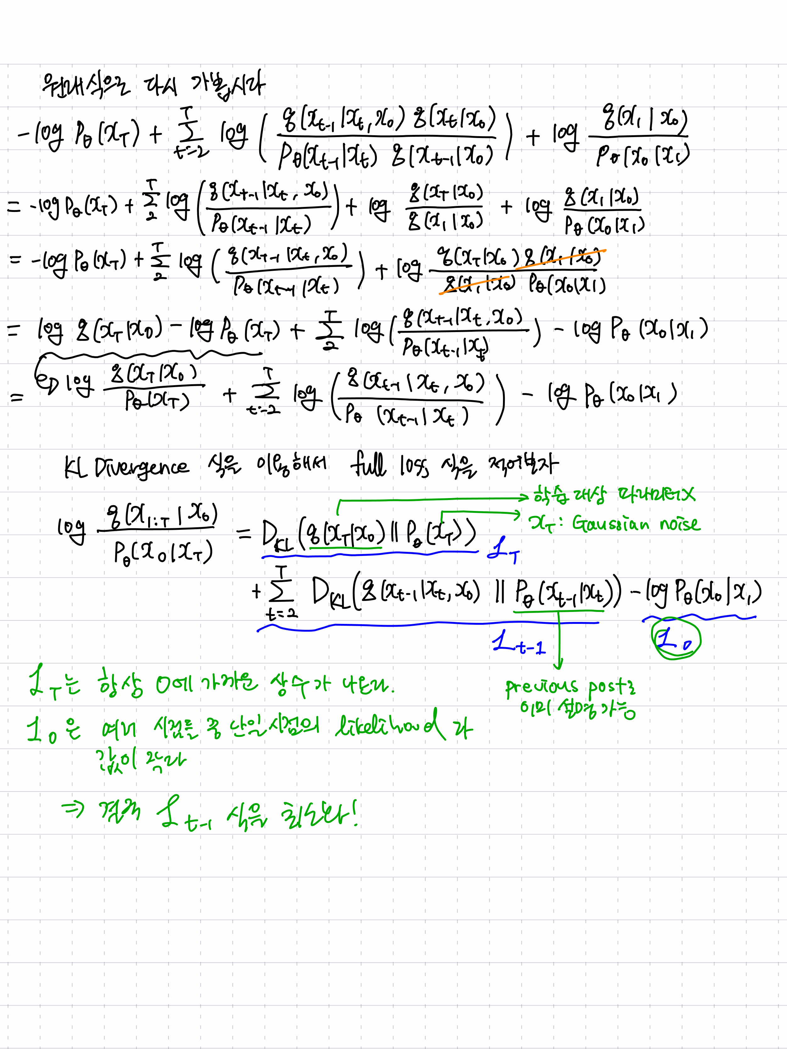
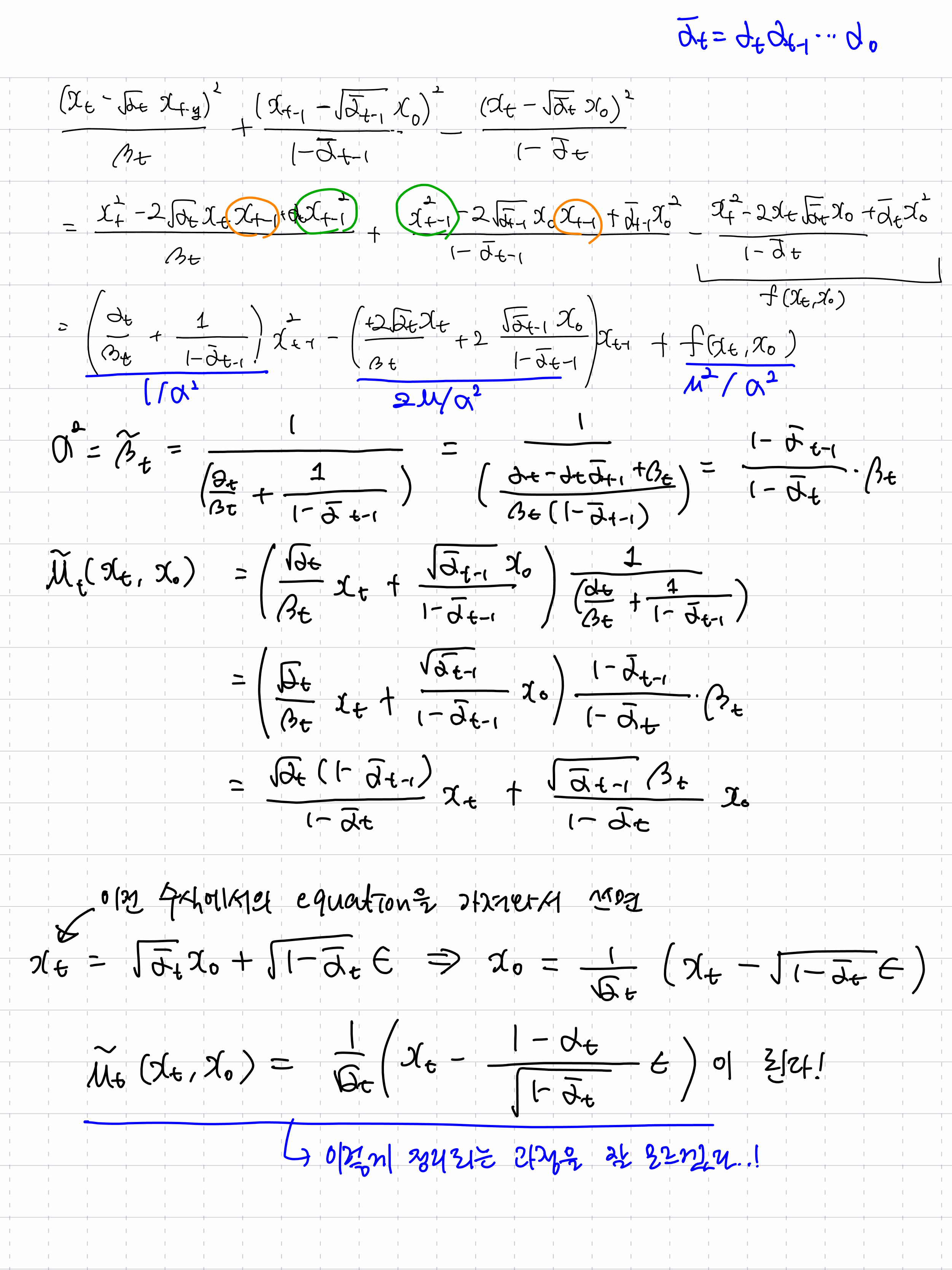
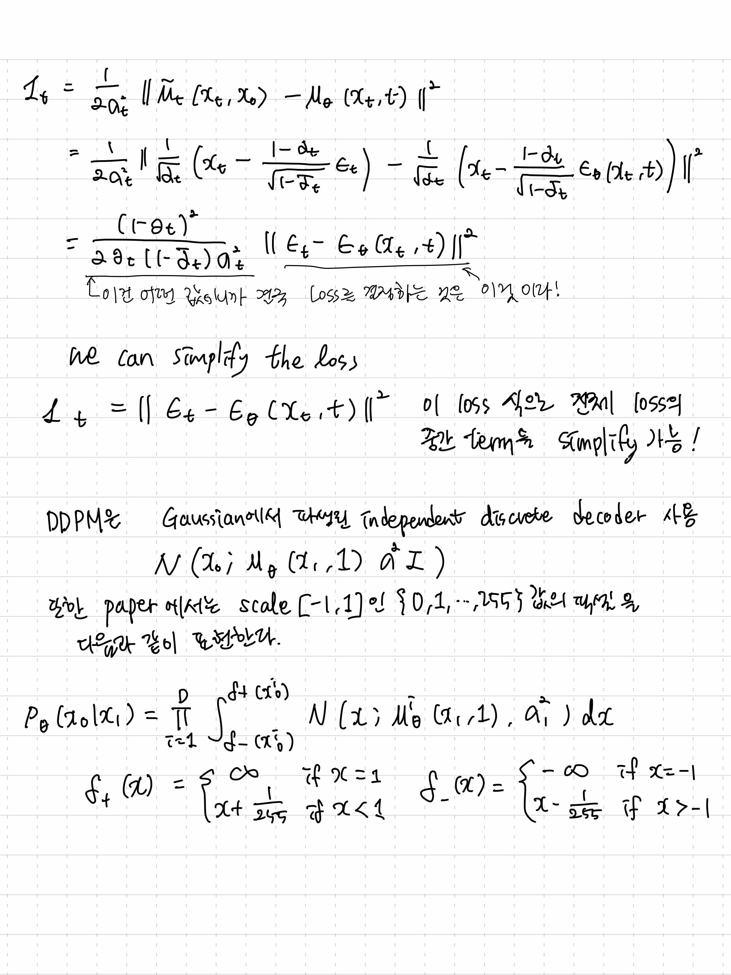
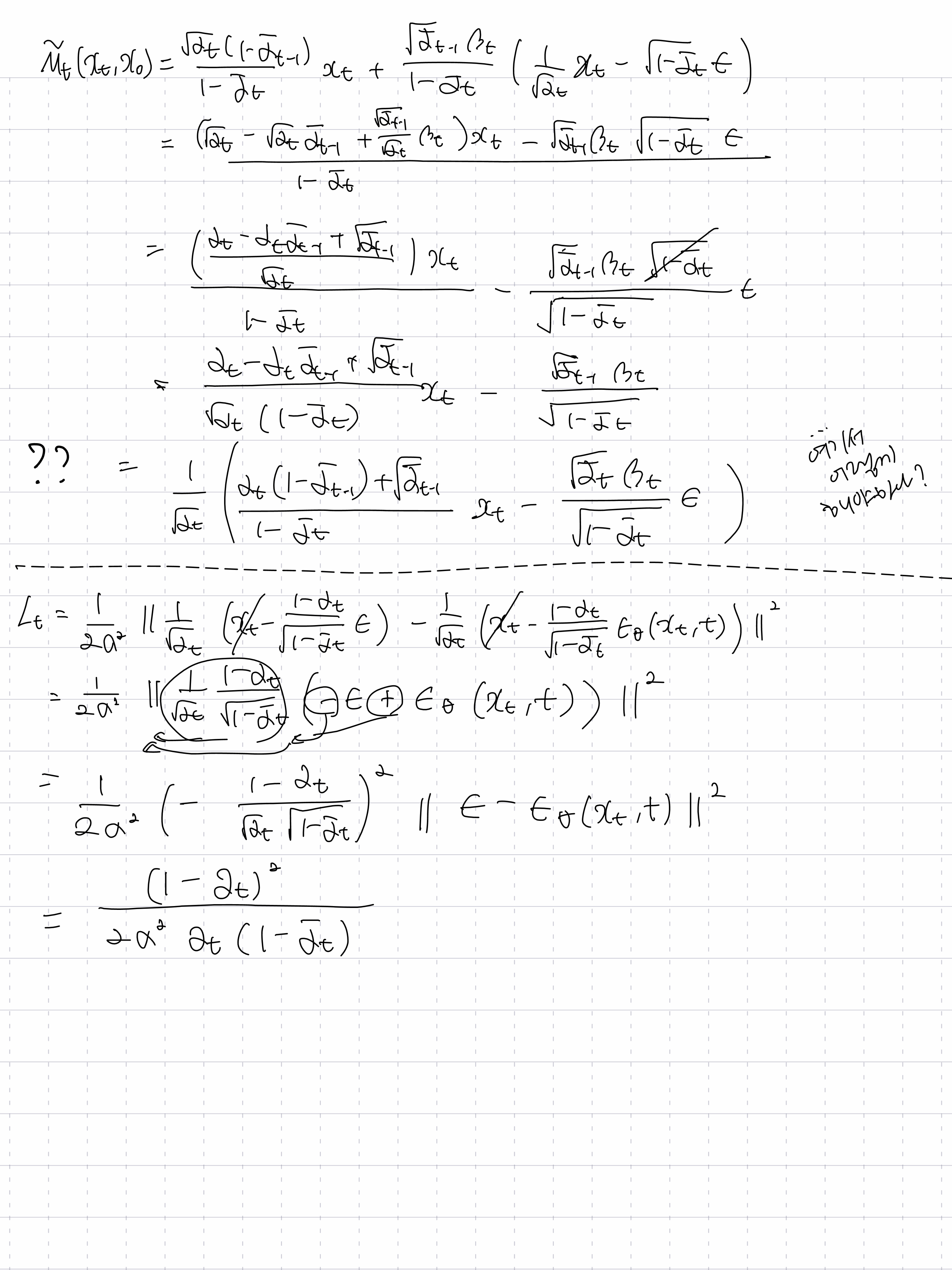
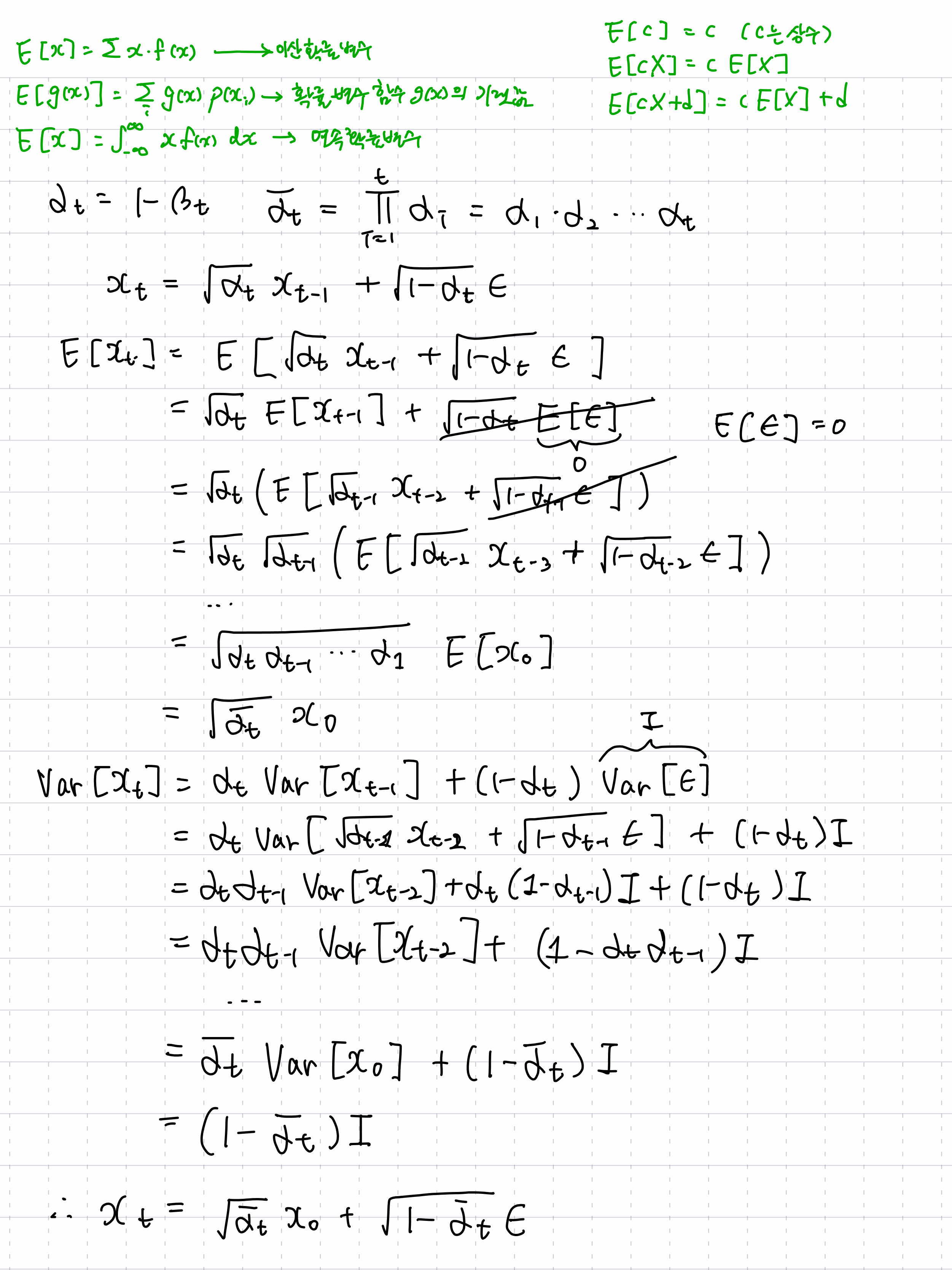
DDPM equation
kiteday
·
2024년 5월 9일
팔로우
0
생성모델
수식
기본부터 시작하는 생성모델
목록 보기
3/3
reference
Intro to Diffusion Model
Diffusion, DDPM 수식 정복하기
kiteday
공부
팔로우
이전 포스트
[generation loss] image generation model for character에서 사용한 loss 모음
0개의 댓글
댓글 작성