kkj-100-010-110.log
로그인
kkj-100-010-110.log
로그인
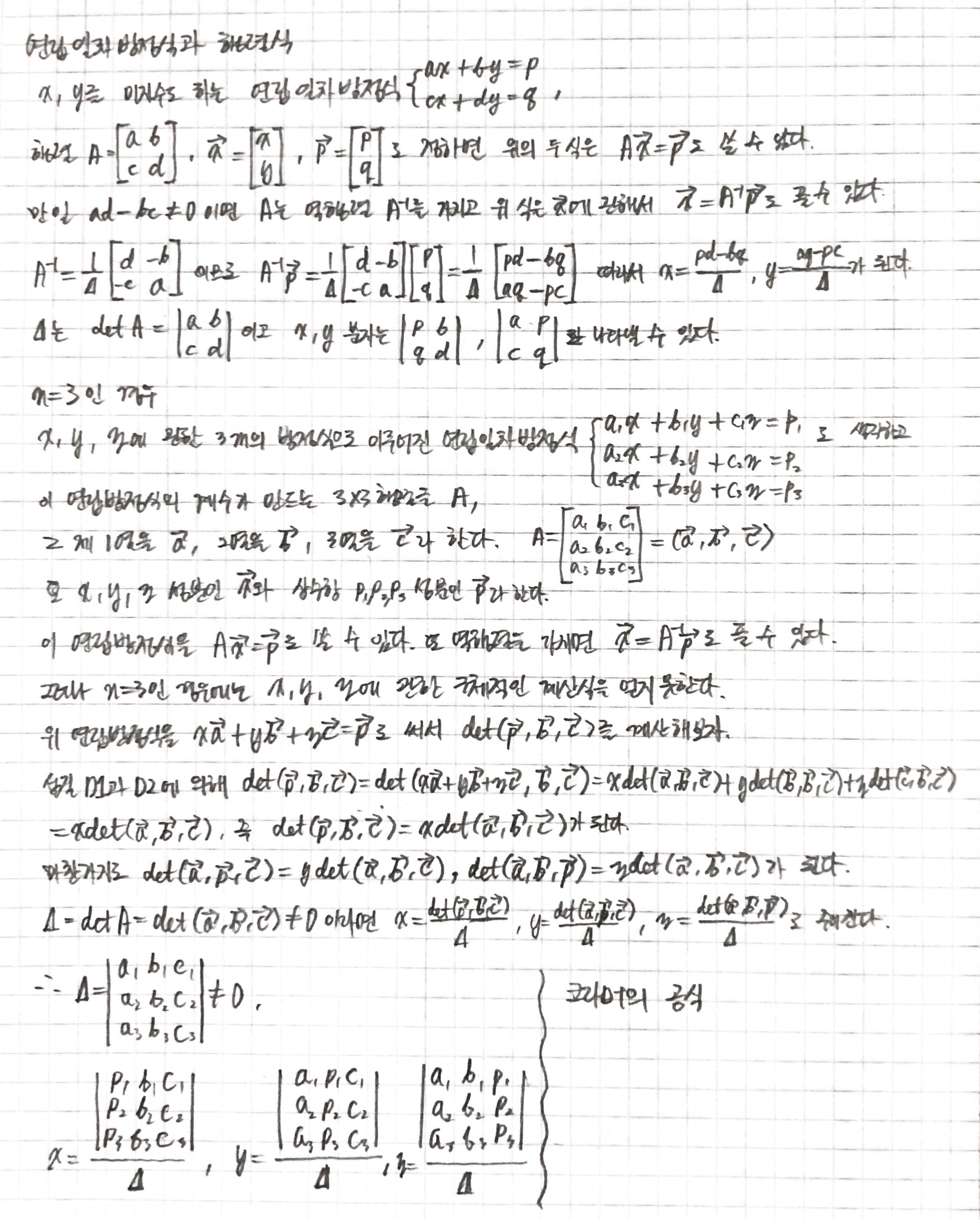
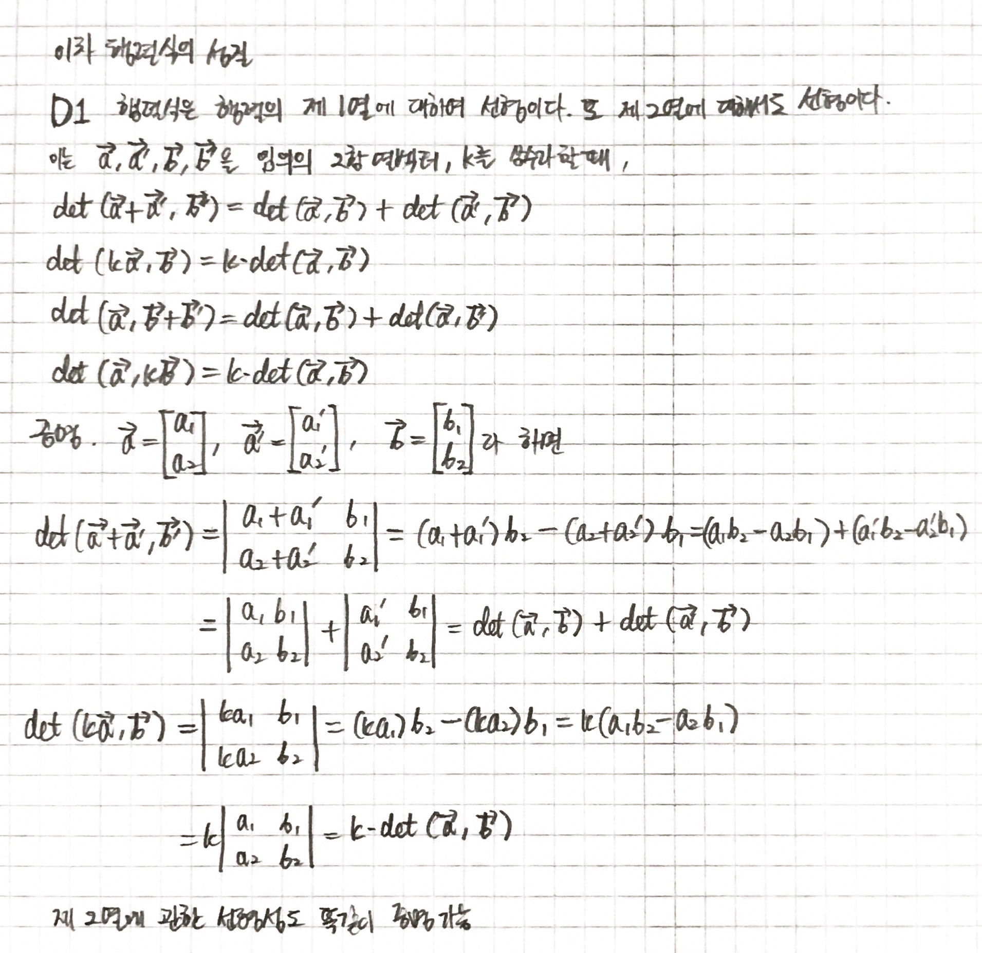
행렬
김경주
·
2024년 3월 31일
팔로우
0
수학
수학
목록 보기
4/4
김경주
Hello everyone
팔로우
이전 포스트
공간벡터
0개의 댓글
댓글 작성