출처 : 디온통계 Youtube채널, 수학독본, Newton HIGHLIGHT 삼각함수의 세계
호도법과 일반각

삼각비와 특수각에 따른 각각의 값들

삼각함수 용어 설명, 역수관계인 삼각함수들, 사영정리 및 피타고라스 정리



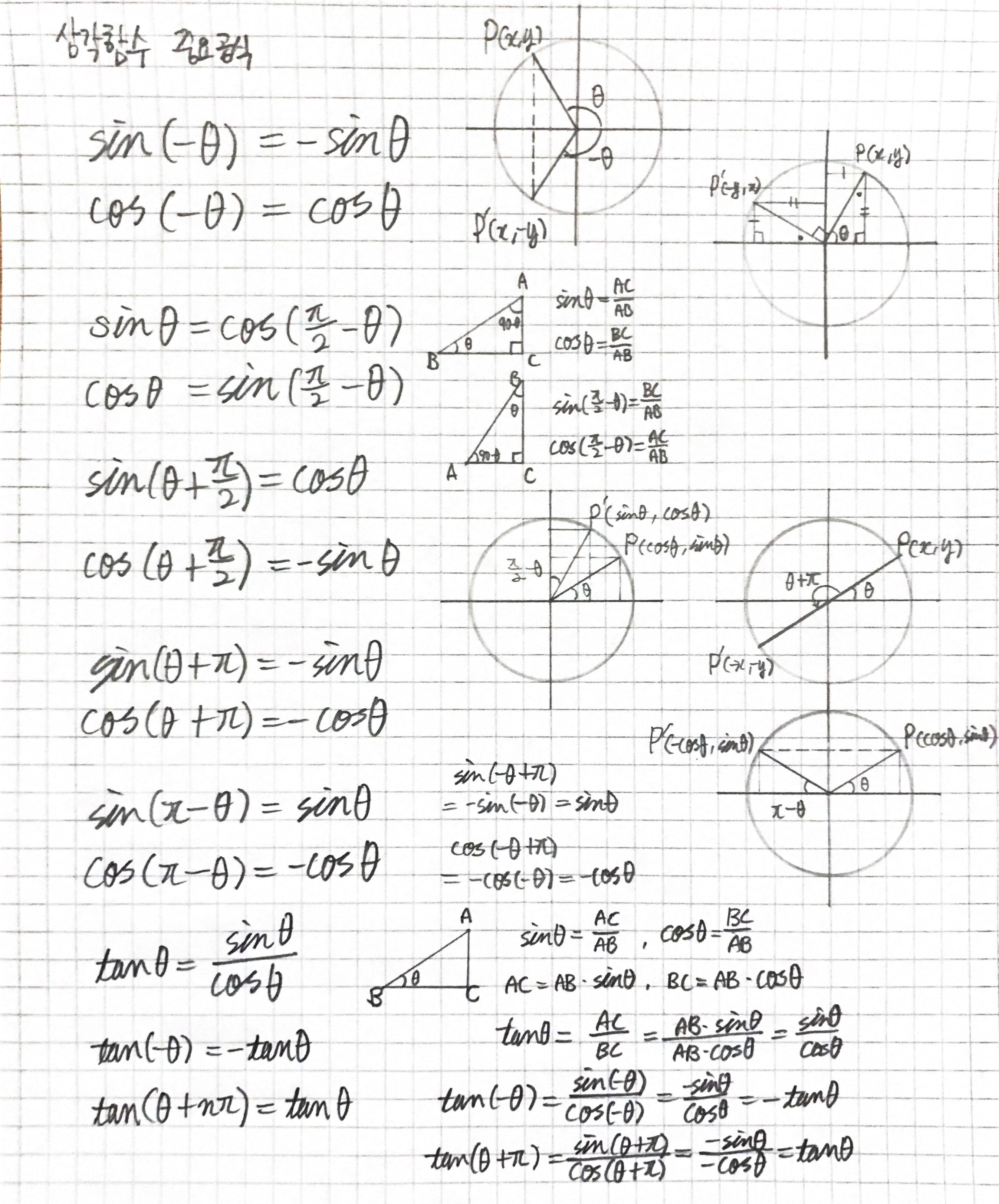
삼각함수의 주요 공식

삼각함수 그래프 특징

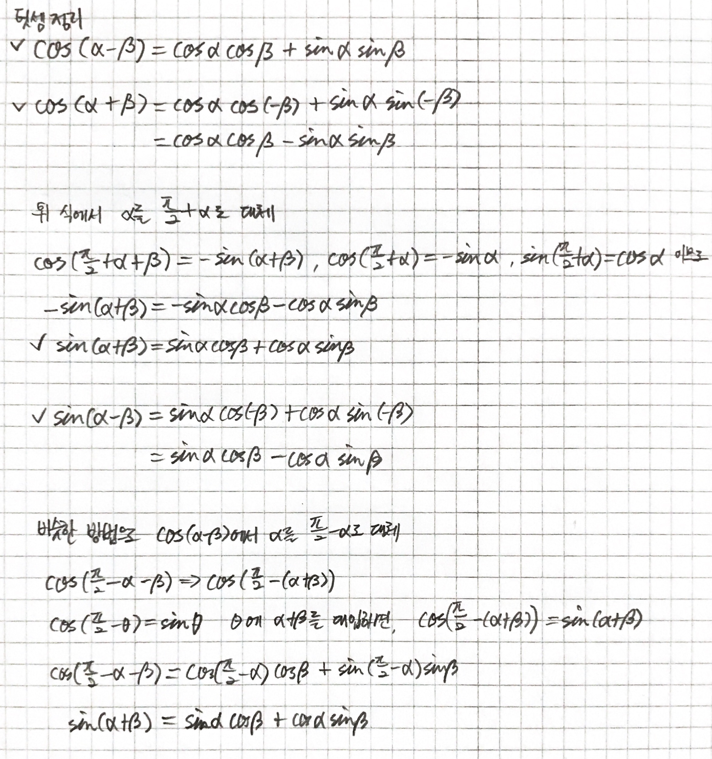
덧셈정리



삼각함수의 합성

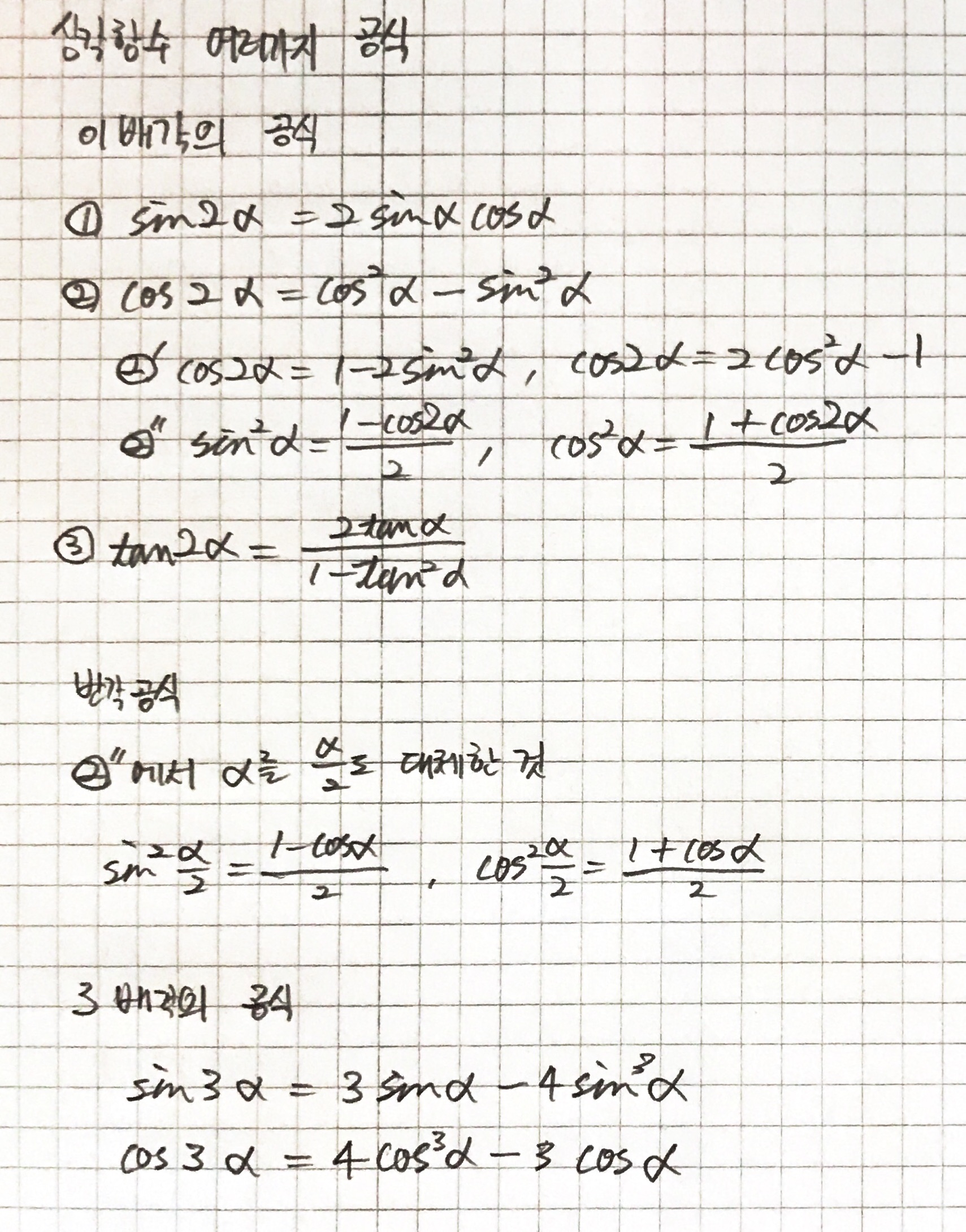
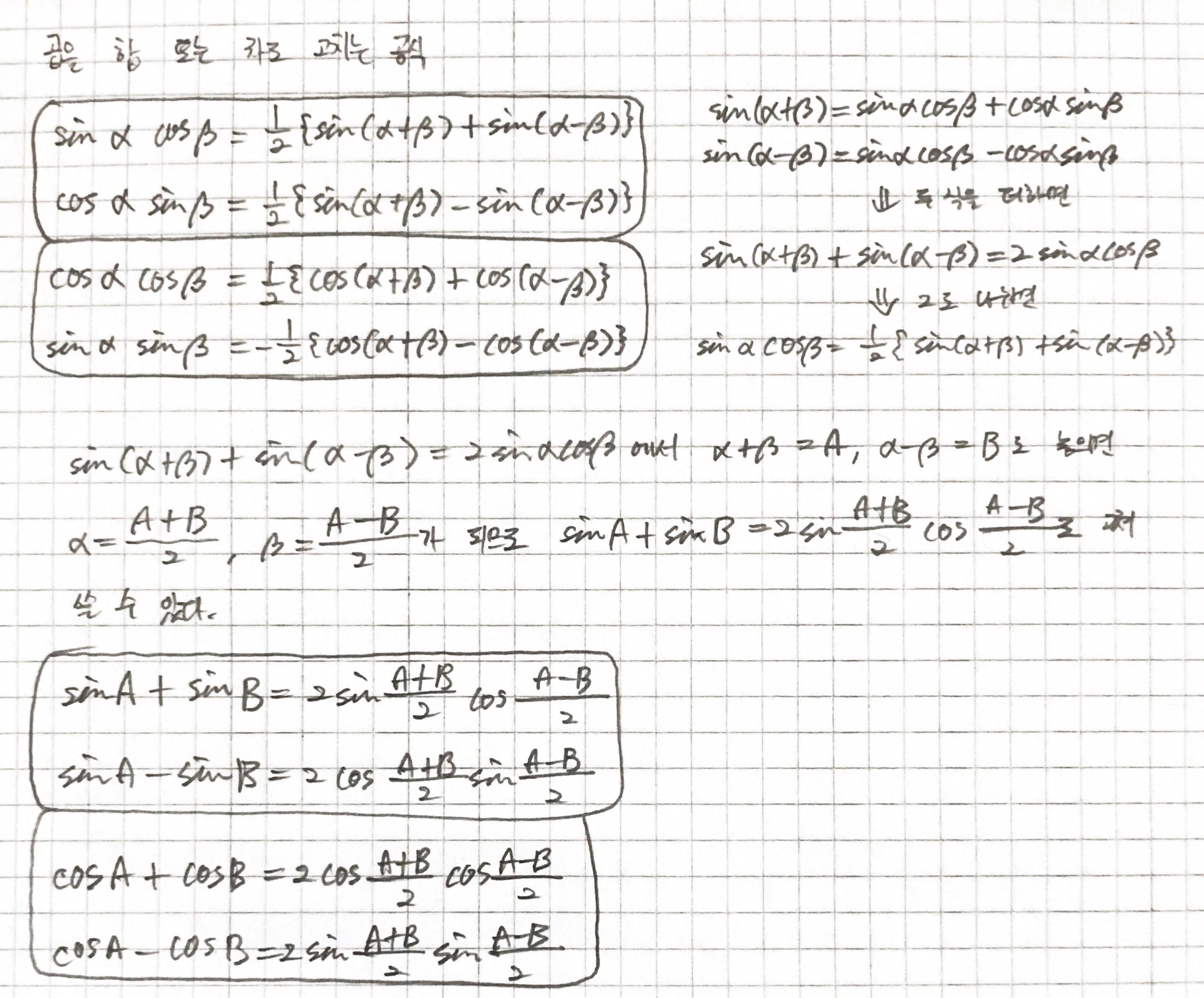
삼각함수 여러가지 공식


증명을 위한 기초 기하 몇 가지


삼각함수와 삼각형(사인정리, 코사인정리, 삼각형의 넓이 등)

사인정리 → 삼각형의 넓이


코사인 정리 → 덧셈정리


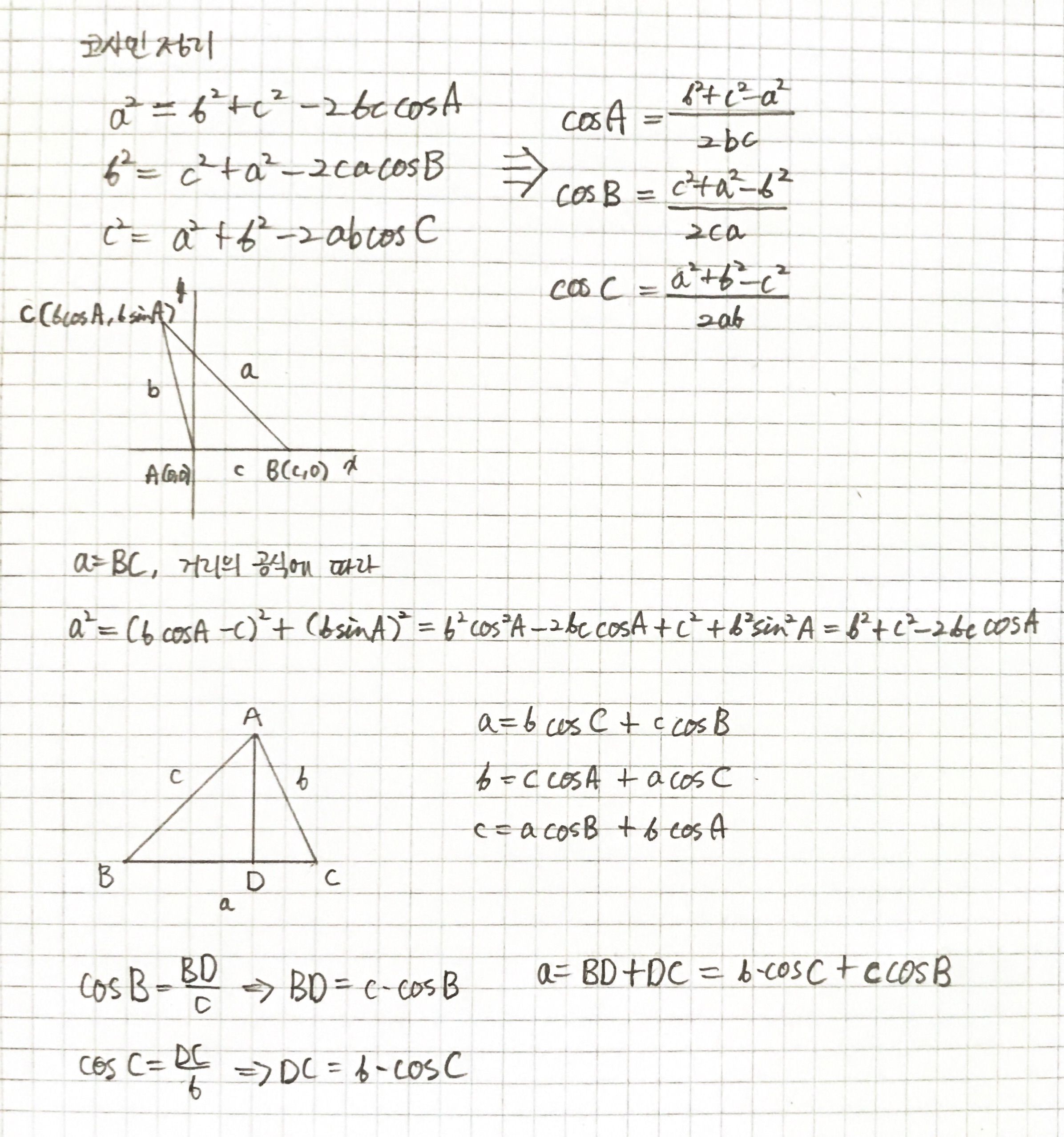
삼각함수 코사인정리, 피타고라스 정리


삼각형의 넓이


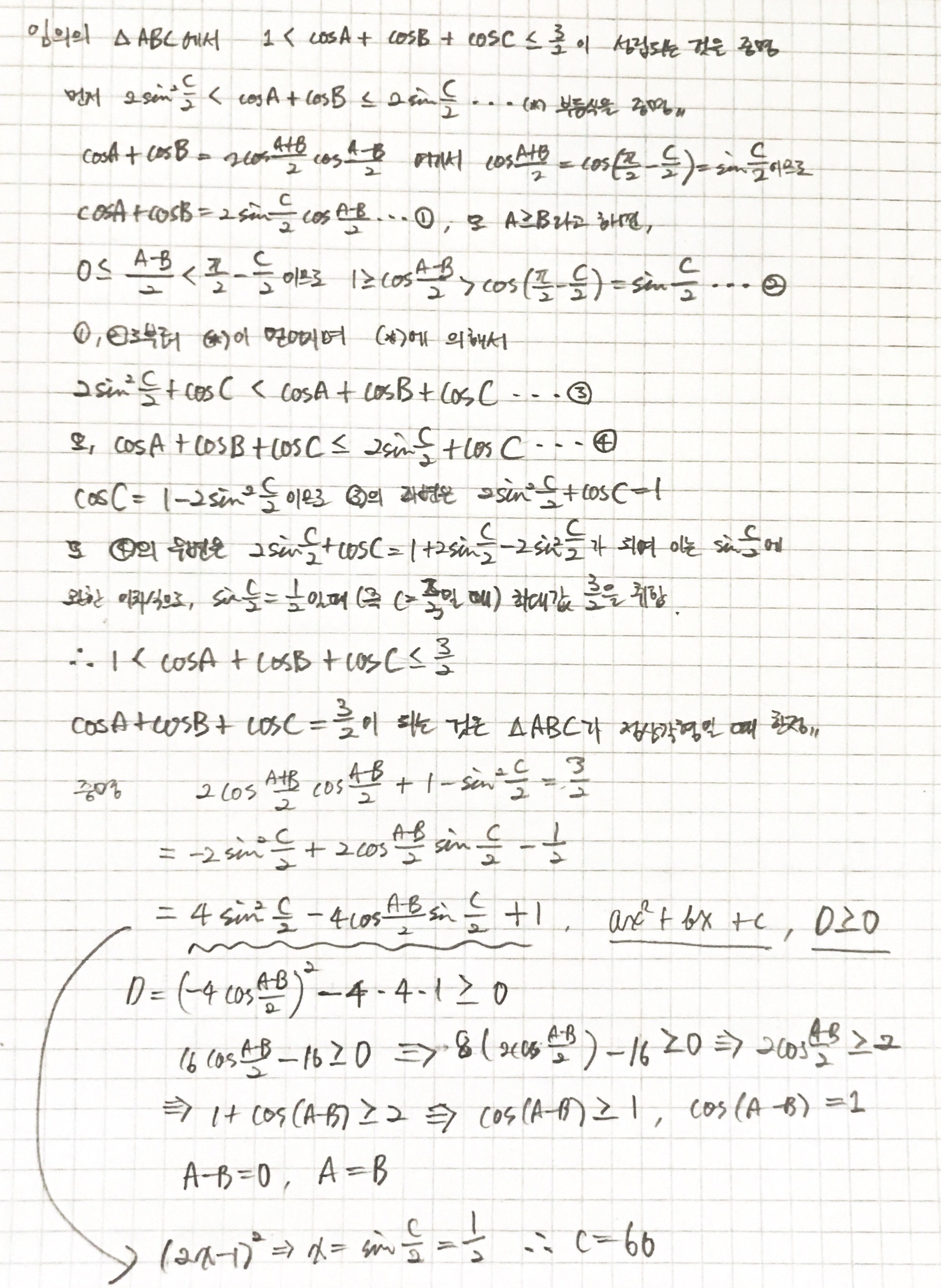
몇가지 흥미로운 문제






삼각형의 오심


