LRU Cache 클래스를 구현해라.
LRUCache(int capacity) : capacity를 크기로 LRU cache를 초기화int get(int key) : 키가 있을 경우 키의 값을 반환하고, 없을 경우에는 -1 리턴void put(int key, int value) : 키가 있을 경우 키의 값을 업데이트하고, 없을 경우에는 값을 넣는데 이때 용량을 초과하면 가장 최근에 적게 사용한 키를 삭제하고 삽입HashMap이랑 LinkedList를 사용해서 구현했다.
LRU(Least Recently Used)는 가장 오랫동안 사용되지 않은(최근에 가장 적게 사용된) 데이터를 제거하는 캐시 전략이다.
get()하거나 put() 했을 때 가장 최근에 사용한 것으로 간주하여 순서를 앞으로 갱신하면 되며, 캐시가 가득 찼을 때 새로운 데이터를 넣으면 가장 오래 안 쓰인 데이터를 제거한다.
public void remove(Node node) {
node.prev.next = node.next;
node.next.prev = node.prev;
}

위에서 노드 A를 삭제하려면 A의 앞 뒤 노드(head, B)의 연결을 끊으면 된다.
A의 앞 노드 head의 next = A의 다음 노드 B
A의 뒷 노드 B의 prev = A의 이전 노드 head
public void insertFront(Node node) {
// head -> A -> tail인 경우
// node.next에 head.next = A 넣기
// head.next.prev = A를 node로 변경
node.next = head.next;
head.next.prev = node;
// head.next = node로 변경
// head -> node -> A가 됨
head.next = node;
node.prev = head;
}

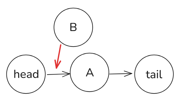
위에서 맨 앞에 노드 B를 추가하려면
B의 next = head의 다음 노드 A
head의 뒷 노드인 A의 prev = B
head의 뒷 노드인 A = B
B의 prev = head
import java.util.*;
class LRUCache {
class Node {
int key, value;
Node prev, next;
Node(int key, int value) {
this.key = key;
this.value = value;
}
}
Map<Integer, Node> map;
int capacity;
Node head, tail;
public LRUCache(int capacity) {
this.capacity = capacity;
this.map = new HashMap<>();
this.head = new Node(0, 0);
this.tail = new Node(0, 0);
// head와 tail 연결
head.next = tail;
tail.prev = head;
}
public int get(int key) {
if (!map.containsKey(key)) return -1;
// get하는 값 맨 앞으로 꺼내기
Node node = map.get(key);
remove(node);
insertFront(node);
return node.value;
}
public void put(int key, int value) {
// key가 이미 있으면 update (삭제 후 앞에 넣기)
if (map.containsKey(key)) {
Node node = map.get(key);
remove(node);
node.value = value;
insertFront(node);
} else {
// 이미 꽉 차 있을 경우 최근에 가장 적게 사용한 Node 삭제
if (map.size() == capacity) {
Node lru = tail.prev;
remove(lru);
map.remove(lru.key);
}
// 새 노드 넣기
Node newNode = new Node(key, value);
insertFront(newNode);
map.put(key, newNode);
}
}
public void remove(Node node) {
node.prev.next = node.next;
node.next.prev = node.prev;
}
public void insertFront(Node node) {
// head -> A -> tail인 경우
// node.next에 head.next = A 넣기
// head.next.prev = A를 node로 변경
node.next = head.next;
head.next.prev = node;
// head.next = node로 변경
// head -> node -> A가 됨
head.next = node;
node.prev = head;
}
}