안녕하세요. K-ROAD 5기 한겸입니다.
오늘은 많은 사람들에게 잘 알려져있는 Pure Pursuit 과 Stanely 경로 추종 알고리즘에 대해 소개하려고 합니다.
Kinematic bicycle model은 단순화 된 자동차의 수학적 모델로 일반적인 주행 조건에서 차량 움직임을 매우 잘 포착하는 모델입니다.
실제 자전거처럼 뒷바퀴는 고정되어 있고 앞바퀴를 통해 차량의 방향을 제어합니다.

Motion Equation은 다음과 같습니다.

Pure Pursuit 알고리즘은 경로 추종 알고리즘 중 하나로, 차량의 후륜축의 중심을 기준점으로 사용하여 차량의 운동 방정식과 경로의 지오메트리만을 사용하는 간단한 알고리즘입니다.
먼저 Reference Path위에 Ld 거리만큼 떨어진 Look Ahead Point를 정하고
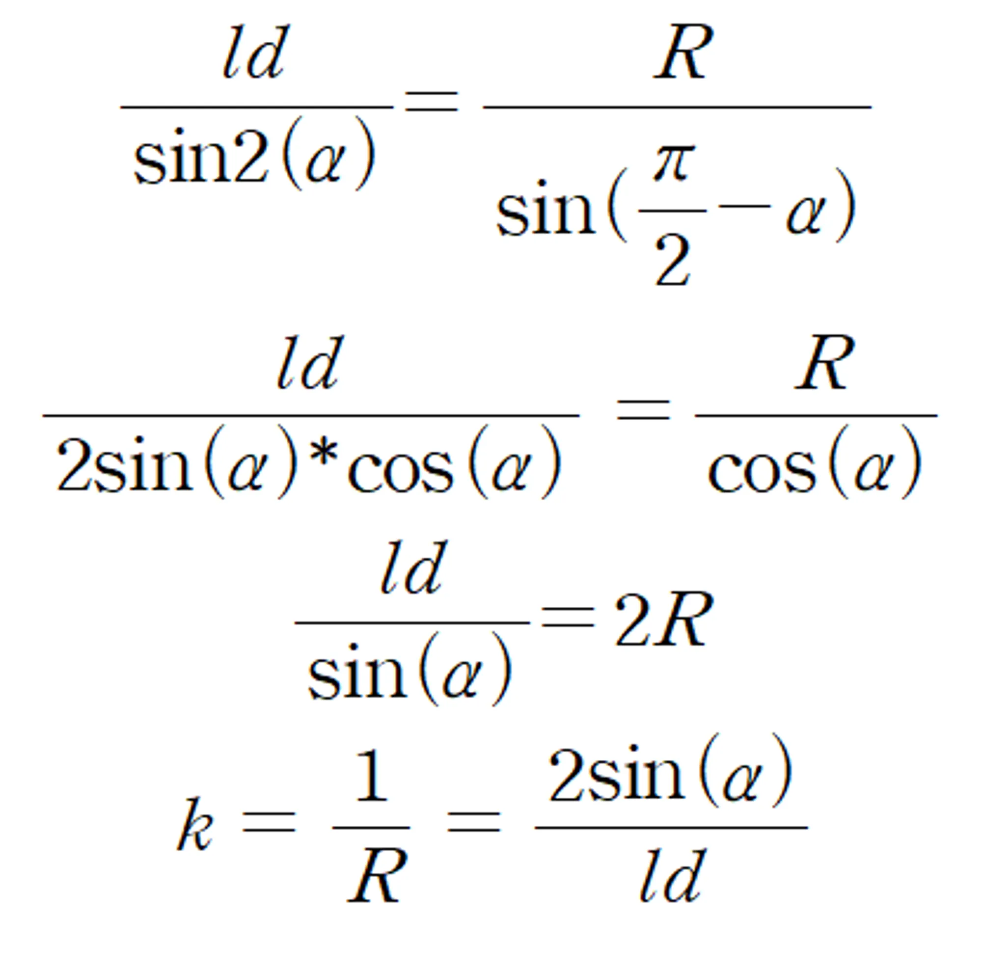
이때 뒷바퀴 중심과 Look Ahead Point를 지나는 원의 곡률을 따라서 조향각을 조절합니다.
L : 차량 길이
δ : 조향각
α : 두 점을 지나는 직선과 차량이 바라보는 방향의 직선 사이의 각도
Ld : 뒷바퀴 중심과 목표 지점 사이의 거리
R : 두 점을 지나는 원의 반지름(자동차의 선회반경)
관련된 수식은 위와 같으며 Kinematic bicycle model에 의해
이 되며 결과적으로 조향각δ는 다음과 같이 정의됩니다.

다음은 Pure Pursuit 알고리즘의 중요 파라미터인 Look Ahead Distance에 대해 설명하겠습니다.
Look Ahead Distance는 Look Ahead Point까지의 거리를 결정합니다.
이때 Look Ahead Distance를 짧게 설정하면 경로를 추종하는 시간을 줄일 수 있지만 아래 그림에서 볼 수 있듯 진동하며 경로를 벗어날 수 있습니다.
반대로, Look Ahead Distance를 길게 설정하면 경로를 부드럽게 추종하지만 코너에서 더 큰 곡률이 발생할 수 있으며, 경우지를 정확히 따라가지 않아 경로 추종 성능이 저하될 수 있기에 적절한 튜닝값을 구하는 것이 중요합니다.

Stanley 알고리즘은 운동방정식, 기준이 되는 경로의 지오메트리, 차량의 헤딩 방향을 사용하여 기존 경로를 추종하고 접근하는 방식의 알고리즘입니다.
스탠포드 대학교의 Darpa Grad Challenge 팀에서 사용하여 우승까지 했던 알고리즘입니다.
차량의 후륜축을 기준으로 하는 Pure Pursuit 알고리즘과는 달리 Stanley 방식은 전륜축을 기준으로 합니다.
또한 Stanley의 경우 차량과 목표지점까지의 오차만 고려하는 Pure Pursuit과는 달리 차량과 목표지점까지의 오차 + 목표지점과 차량의 헤딩방향의 오차도 함께 고려합니다.
이때 차량의 목표지점까지의 오차는 전륜축에서 Reference Path에 가장 가까운 목표점까지의 거리로 정의합니다.

ψ : 경로의 방향과 차량의 Heading 사이의 각도
δ : 조향각
e : 차량의 목표지점까지의 오차
v : 차량의 속도벡터
Stanley 방식은 헤딩 오차와 횡방향 오차를 고려하여 차량을 제어합니다.
헤딩 오차 고려
차량 경로의 방향 및 자동차의 축방향에 맞춰 헤딩 오차를 없애기 위한 조향각 결정
횡방향 오차 고려
조향각을 횡방향 오차에 비례하여 제어하는데 이때 차량의 속력에 따라 조향 속도가 너무 크지 않도록 제어합니다. k값은 튜닝 파라미터 입니다.
헤딩 오차 + 횡방향 오차
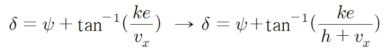
두 값을 합쳐 최종적으로 조향각을 제어합니다. 이때 최대, 최소 조향각을 제한합니다.

위 조향각 식에서 속도가 0에 가까울 때 tan역함수 값이 매우 커질 수 있기 때문에 이것을 해결하기 위해 아래와 같이 속도 상수 h를 추가해줍니다.

마지막으로 지금까지 살펴본 Pure Pursuit과 Stanley 알고리즘의 차이점을 간단하게 살펴보면 다음과 같습니다.

두 제어방식 모두 완벽한 제어방식이 아닌 각각의 장단점이 존재하는 제어방식들입니다. 따라서 주행 상황에 맞는 제어 알고리즘의 도입과 적절한 튜닝값 선정이 중요합니다.