2차원 문자 배열과 문자열 배열 하나가 주어진다.
문자열 배열에 있는 단어가 2차원 문자 배열에 존재한다면 그 값을 List 에 추가하여 리턴하는 문제
(2차원 문자 배열의 문자는 재사용할 수 없고 상,하,좌,우로만 이동이 가능하다.)
효과적인 탐색을 위해 Trie + DFS 로 접근하였다.
String[] words 를 자료구조에 담고 char[][] board 의 char 변수를 기준으로 탐색을 한다.
끝까지 탐색을 하는 경우 해당 word 가 존재한다는 뜻이기에 정답에 담아준다.
String[] words 를 Trie 자료 구조에 담는다.char[][] board 의 모든 값들을 시작 값으로 DFS 탐색을 한다.Set 자료 구조에 담고 List 로 바꾸어 리턴한다.
Trie는 문자열 검색에 효과적인 자료 구조다.
이번 알고리즘 문제에서는Map을 이용하여 구현하였다.
Key는Character,Value는Trie로 구현한다.
필드에 마지막 문자인지 체크하는boolean isEndOfWord변수도 선언해준다.
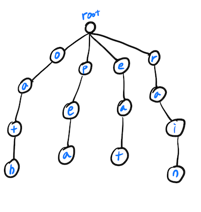
root node부터 시작한다. 예제 1을 담아보자.ex)
String[] words = ["oath","pea","eat","rain"];첫 번째 문자열을 가져온다.
"oath"
.charAt()으로 한 단어씩 뜯어낸 후Key로 검색을 한다.
.get(Key)해서 나온Trie가null이라면 새로 만들어 추가하고
그게 아니라면 다음node로 넘긴다.
반복문을 통해 처리한다면 아래 그림과 같은Trie자료 구조가 만들어 진다.
char[][] board의 시작 인덱스부터 마지막 인덱스까지 탐색을 해야한다.
board[i][j]를 가져온다면 특정 문자가 등장한다.
예제를 기준으로char key = board[0][0]하면key변수에는'o'가 담긴다.
이 문자로.get(key)하게 되면Trie객체가 나오게 된다.
.get(key)으로 나오는 객체가null이라면 탐색을 종료한다.
그게 아니라면DFS을 이어가는데, 이 때booelan isEndOfWord가true라면 해당 문자열이 존재한다는 뜻이므로Set에 추가한다.
Set은 중복 제거를 위해 사용했을 뿐 정답은List로 반환해야 한다.
return new ArrayList<>(Set);으로 반환한다.
처음에 DFS 탐색만을 이용하였다가 제한 시간 초과로 풀지 못했다.
문자열 탐색에 효과적인 Trie 자료 구조를 사용해 DFS 탐색을 하여 해결할 수 있었지만
시간 복잡도와 공간 복잡도의 성능이 좋아보이지 않는다.
Trie 자료 구조에 추가할 때와 탐색을 할 때 중복되는 경우의 수를 줄인다면 좀 더 나은 성능으로 풀 수 있을 것 같다.
class Solution {
Set<String> result = new HashSet<>();
char[][] board;
boolean[][] visited;
int[] DX = new int[]{1, -1, 0, 0};
int[] DY = new int[]{0, 0, 1, -1};
int m, n;
public List<String> findWords(char[][] board, String[] words) {
Trie root = build(words);
this.board = board;
this.m = board.length;
this.n = board[0].length;
this.visited = new boolean[this.m][this.n];
for (int i = 0; i < m; i++) {
for (int j = 0; j < n; j++) {
String word = "";
DFS(i, j, word, root);
}
}
return new ArrayList<>(result);
}
private void DFS(int x, int y, String word, Trie trie) {
char key = board[x][y];
Trie node = trie.children.get(key);
if (node == null) return;
word += String.valueOf(key);
visited[x][y] = true;
if (node.isEndOfWord) result.add(word);
for (int i = 0; i < 4; i++) {
int newX = x + DX[i];
int newY = y + DY[i];
if (newX >= 0 && newX < m &&
newY >= 0 && newY < n &&
!visited[newX][newY]) {
DFS(newX, newY, word, node);
}
}
visited[x][y] = false;
}
private Trie build(String[] words) {
Trie root = new Trie();
for (String word : words) {
Trie node = root;
for (int i = 0; i < word.length(); i++) {
char key = word.charAt(i);
Trie child = node.children.get(key);
if (child == null) {
child = new Trie();
node.children.put(key, child);
}
node = child;
}
node.isEndOfWord = true;
}
return root;
}
}
class Trie {
Map<Character, Trie> children;
boolean isEndOfWord;
public Trie() {
this.children = new HashMap<>();
this.isEndOfWord = false;
}
}
