
DFS/BFS 를 이야기 하기 전에 먼저 그래프 자료의 기본 구조를 알아야 한다. 그래프는 노드(Node), 간선(Edge)로 표현되며 이때의 노드를 정점(Vertex)라고도 한다. 그래프 탐색이란 하나의 노드를 시작으로 다수의 노드를 방문하는 것을 말한다.
이때 두 노드가 간선으로 연결되어 있다면 이를 두 노드는 인접하다 라고 표현한다.
프로그래밍에서 그래프는 크게 2가지 표현방식이 있다.
1. 인접 행렬(Adjacency Matrix): 2차원 배열로 그래프의 연결 관계를 표현하는 방식
2. 인접 리스트(Adjacency List): 리스트로 그래프의 연결 관계를 표현하는 방식

왼쪽이 그래프 자료형을 시각적으로 표현한 것이고 오른쪽이 왼쪽의 그래프 자료형을 인접 행렬로 표현한 것이다.
인접 행렬 방식은 2차원 배열에 각 노드가 연결된 형태를 기록하는 방식으로서 파이썬 에서 2차원 리스트를 이용하여 구현할 수 있다. 이때 연결되지 않은 노드끼리는 무한의 비용이라고 작성한다.
인접 행렬 방식 예제
INF = 99999999
graph = [
[0, 7, 5],
[7, 0, INF],
[5, INF, 0]
]
print(graph)
result = [[0, 7, 5], [7, 0, INF],[5, INF, 0]]

위의 그림은 그래프를 인접 리스트 방식으로 표현한 것이다. 인접 리스트는 연결 리스트라는 자료구조를 이용하여 구현하는 데, 다른 언어에는 별도의 표준 라이브러리를 이용하지만 파이썬에서는 기본 자료형인 리스트 자료형이 append() 메소드를 제공하므로, 전통적인 프로그래밍 언어에서의 배열과 연결 리스트의 기능을 모두 사용 가능하다.
인접 리스트 방식 예제
graph = [[] for _ in range(3)]
graph[0].append((1, 7))
graph[0].append((2, 5))
graph[1].append(0,7)
graph[2].append((0,5))
print(graph)
result = [[(1, 7), (2, 5)], [(0, 7)], [(0, 5)]]
두 방식의 차이를 메모리와 속도 측면에서 살펴보면 다음과 같다.
1. 메모리 측면에서 인접 행렬 방식은 모든 관계를 저장해야하므로 노드 개수가 많을수록 메모리가 불필요하게 낭비된다. 반면 인접 리스트 방식은 연결된 정보만을 제공하기 때문에 메모리를 좀 더 효율적으로 사용한다.
2. 속도 측면에서 보면 위의 메모리적인 측면 때문에 인접 리스트 방식은 인접 행렬 방식에 비해 특정 두 노드가 연결되어 있는지에 대한 정보를 얻는 속도가 느리다. 인접 리스트 방식에서는 연결된 데이터를 하나씩 확인해야 하기 때문이다.
정리하자면 두 방식은 메모리 적인 측면에서는 인접 리스트가 유리하고 속도의 측면에서는 인접 행렬이 유리하다.
많은 양의 데이터 중에서 원하는 데이터를 찾는 과정을 의미한다. 프로그래밍에서는 그래프, 트리 등의 자료구조 안에서 탐색을 하는 문제를 자주 다룬다. 이 중 대표적인 탐색 알고리즘으로 DFS/BFS알고리즘이 있다.
- 탐색 시작 노드를 스택에 삽입하고 방문 처리를 한다.
- 스택의 최상단 노드에 방문하지 않은 인접 노드가 있으면 그 인접 노드를 스택에 넣고 방문 처리를 한다. 방문하지 않은 인접 노드가 없으면 스택에서 최상단 노드를 꺼낸다.
- 2번의 과정을 더 이상 수행하지 못할 때 까지 반복한다.

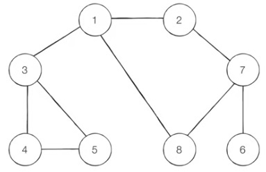
위와 같은 그래프가 있을때 DFS로 탐색을 진행하게 되면 1->2->7->6->8->3->4->5의 순서로 탐색이 진행된다.
DFS는 스택 자료구조에 기초한다는 점에서 구현이 간단하며 실제로는 스택을 쓰지 않아도 된다. 탐색을 수행함에 있어 데이터의 개수가 N개인 경우에는 O(N)의 시간이 소요된다.
DFS 예제
def dfs(graph, v, visited):
#현재 노드 방문 처리
visited[v] = True
print(v, end=' ')
#현재 노드와 연결된 다른 노드를 재귀적으로 방문
for i in graph[v]:
if not visited[i]:
dfs(graph, i, visited)
#각 노드가 연결된 정보를 리스트 자료형으로 표현(2차원 리스트)
graph =[
[],
[2, 3, 8],
[1, 7],
[1, 4, 5],
[3, 5],
[3, 4],
[7],
[2, 6, 8],
[1, 7]]
#각 노드가 방문된 정보를 리스트 자료형으로 표현(1차원 리스트)
visited = [False] * 9
#정의된 DFS 함수 호출
dfs(graph, 1, visited)
`result = 1 2 7 6 8 3 4 5`
- 탐색 시작 노드를 큐에 삽입하고 방문 처리를 한다.
- 큐에서 노드를 꺼내 해당 노드의 인접 노드 중에서 방문하지 않은 노드를 모드 큐에 삽입하고 방문처리를 한다.
- 2번의 과정을 더 이상 수행할 수 없을 때까지 반복한다.

BFS 알고리즘 또한 큐 자료구조에 기초한다는 점에서 구현이 간단하다. N개의 자료가 주어졌을때 BFS의 시간복잡도는 DFS와 동일하게 O(N)이 소요된다. 실제 수행시간은 DFS보다 좋다.
BFS 예제 구현 코드
from collections import deque
def bfs(graph, start, visited):
#큐 구현을 위해 deque 라이브러리 사용
queue = deque([start])
#현재 노드를 방문 처리
visited[start] = True
#큐가 빌 때 까지 반복
while queue:
#큐에서 하나의 원소를 뽑아 출력
v = queue.popleft()
print(v, end=' ')
#해당 원소와 연결된, 아직 방문하지 않은 원소들을 큐에 삽입
for i in graph[v]:
if not visited[i]:
queue.append(i)
visited[i] = True
#각 노드가 연결된 정보를 리스트 자료형으로 표현(2차원 리스트)
graph =[
[],
[2, 3, 8],
[1, 7],
[1, 4, 5],
[3, 5],
[3, 4],
[7],
[2, 6, 8],
[1, 7]]
#각 노드가 방문된 정보를 리스트 자료형으로 표현(1차원 리스트)
visited = [False] * 9
#정의된 DFS 함수 호출
dfs(graph, 1, visited)
result = 1 2 3 8 7 4 5 6
출처
이것이 취업을 위한 코딩 테스트다 with 파이썬
저자 나동빈이 글은 위 서적을 바탕으로 학습하기 위해 작성되었습니다.